• Предмет: Алгебра
  • Автор: Аноним
  • Вопрос задан 11 лет назад

Помогите пжл) значение выражения

Приложения:

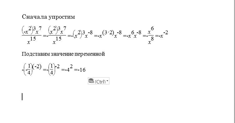
Ответы

Ответ дал: triolana
0
===========================================
Приложения:
Вас заинтересует