• Предмет: Алгебра
  • Автор: konfetko2014
  • Вопрос задан 8 лет назад

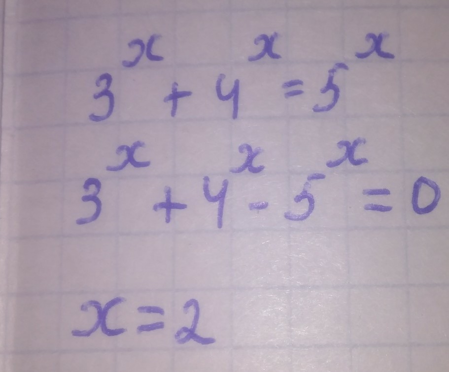
3^х+4^х=5^х
(^х- это степень)

Ответы

Ответ дал: avakyanchanel
0
Решение на фото, не забудь поставить лайк, и сделать мой ответ - лучшим.
Приложения:
Вас заинтересует