• Предмет: Физика
  • Автор: sanadavidko
  • Вопрос задан 8 лет назад

Помогите плис. Нешарю в физике

Приложения:

Ответы

Ответ дал: rulian
0
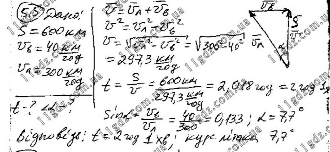
На картинці рішення........
Приложения:
Вас заинтересует