• Предмет: Алгебра
  • Автор: bobrovaksu
  • Вопрос задан 8 лет назад

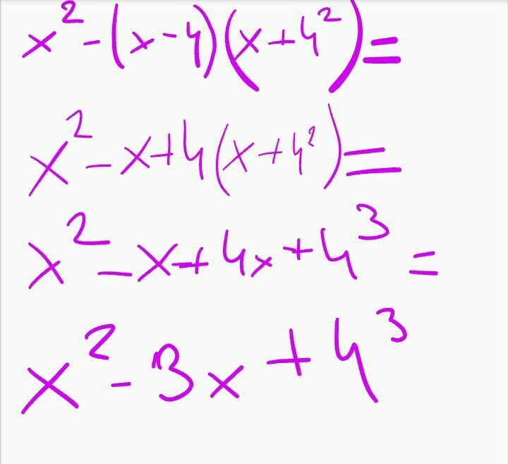
X в квадрате - (x - 4) (x + 4в квадрате) = 2x

Ответы

Ответ дал: istominakasia
0
Надеюсь поймёшь. Если что пиши и помогу
Приложения:
Вас заинтересует