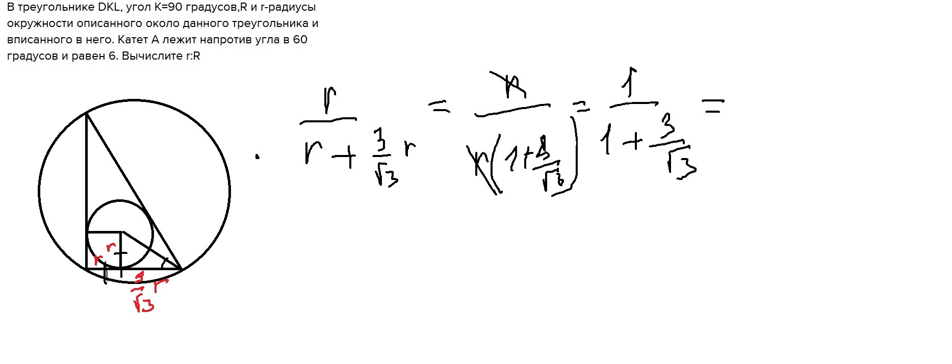
В треугольнике DKL, угол К=90 градусов,R и r-радиусы окружности описанного около данного треугольника и вписанного в него. Катет А лежит напротив угла в 60 градусов и равен 6. Вычислите r:R
Ответы
Ответ дал:
0
В треугольнике DKL, угол К=90 В треугольнике DKL, угол К=90
Приложения:

Вас заинтересует
2 года назад
2 года назад
3 года назад
3 года назад
9 лет назад
9 лет назад
9 лет назад