• Предмет: Физика
  • Автор: viktorijajarema2
  • Вопрос задан 8 лет назад

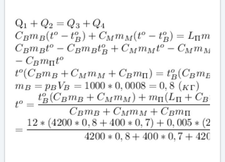
в медном калориметре массой 0,7 кг находится 4 литра воды при температуре 0 градусов на поверхности воды плавает кусочек льда массой 0,5 кг какую массу водяного пара необходимо ввести чтобы он расплавился вода в и калориметр нагреть до температуры 20 градусов

Ответы

Ответ дал: jate290
0
Вот ответ, надеюсь что правсильно
Приложения:
Вас заинтересует