• Предмет: Математика
  • Автор: qwacerty121234
  • Вопрос задан 8 лет назад

Помогите решить.
Расстояние 16 километров. По течению реки теплоход проплывает на 12 мин быстрее ,чем против течения. Найти собственную скорость теплохода если скорость течения равна 2 км/ч.

Ответы

Ответ дал: jekadva
0

Ответ:


Пошаговое объяснение:

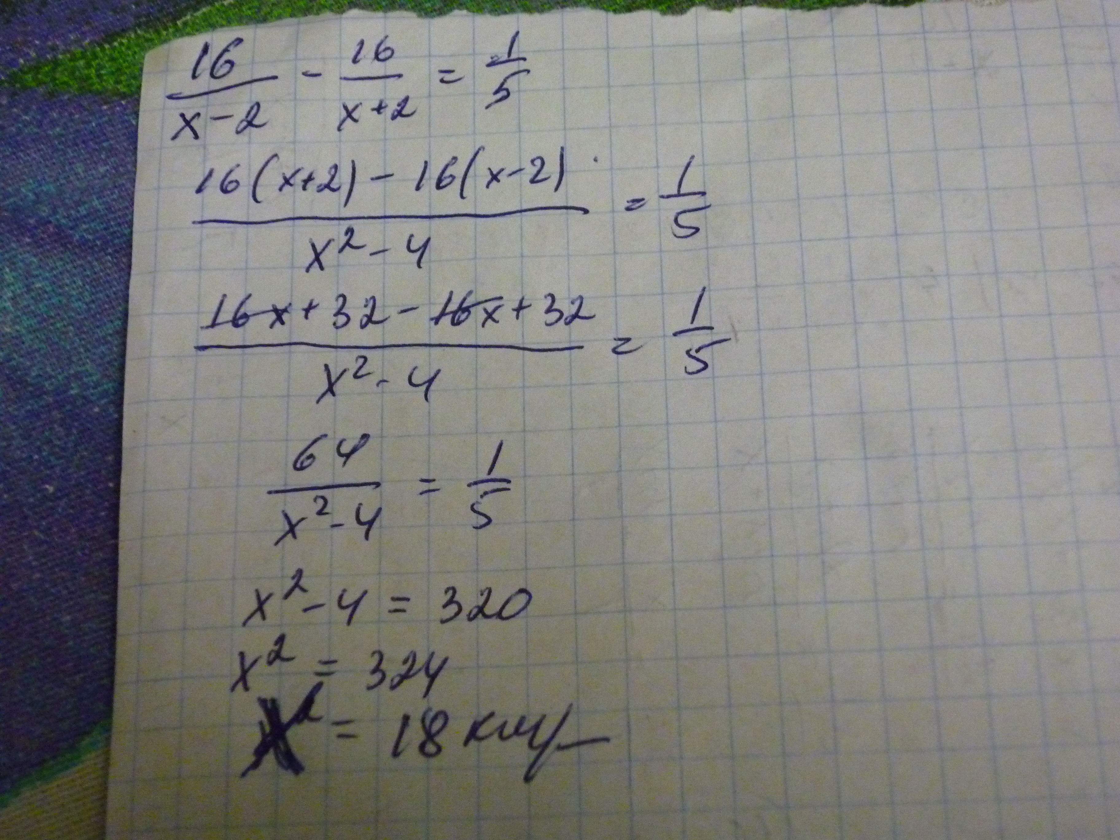
12мин = 1/5ч

16/(x-2) - 16/(x+2) = 1/5

( 16*(x+2) - 16*(x-2) )/ (x² - 4) = 1/5

(16x + 32 - 16x + 32 ) / (x² -4) = 1/5

64/ (x² - 4) = 1/5

x² - 4 = 64*5

x² - 4 = 320

x² = 320+4

x² =324

x = 18км/ч собственная скорость теплохода

Приложения:
Ответ дал: qwacerty121234
0
Спасибо большое
Вас заинтересует