Ответы
Ответ дал:
0
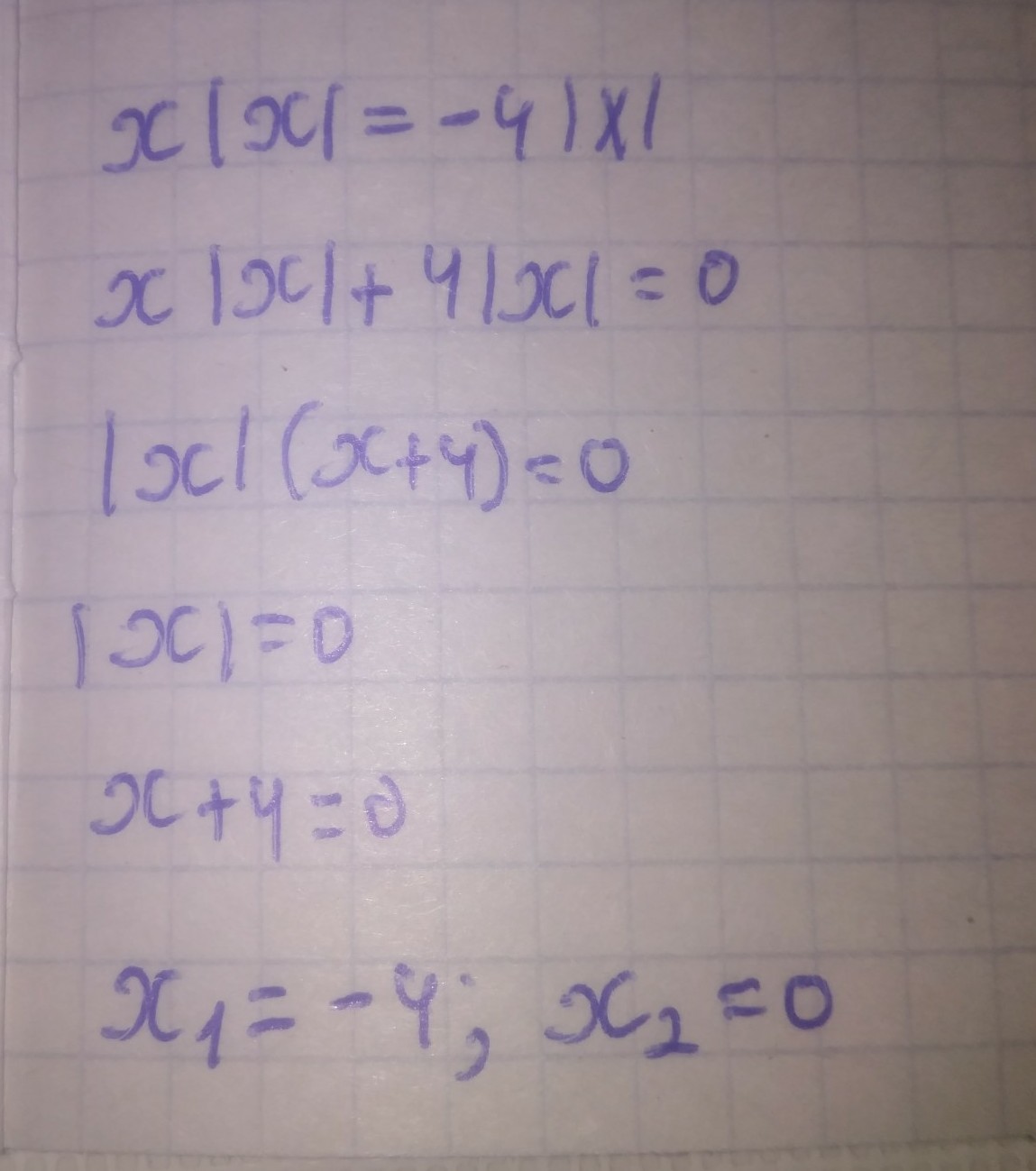
Решение на фото, не забудь поставить лайк, и сделать мой ответ - лучшим.
Приложения:

Ответ дал:
0
спасибо
Вас заинтересует
2 года назад
3 года назад
3 года назад
8 лет назад