Ответы
Ответ дал:
0
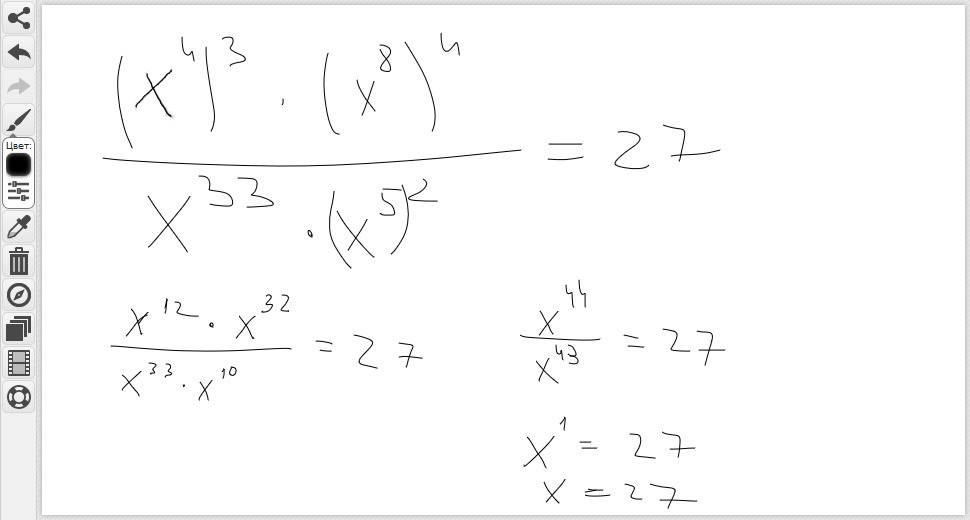
при умножении степени складываются,при делении вычитаются
Приложения:

Ответ дал:
0
Спасибо
Вас заинтересует
2 года назад
3 года назад
3 года назад
8 лет назад
9 лет назад