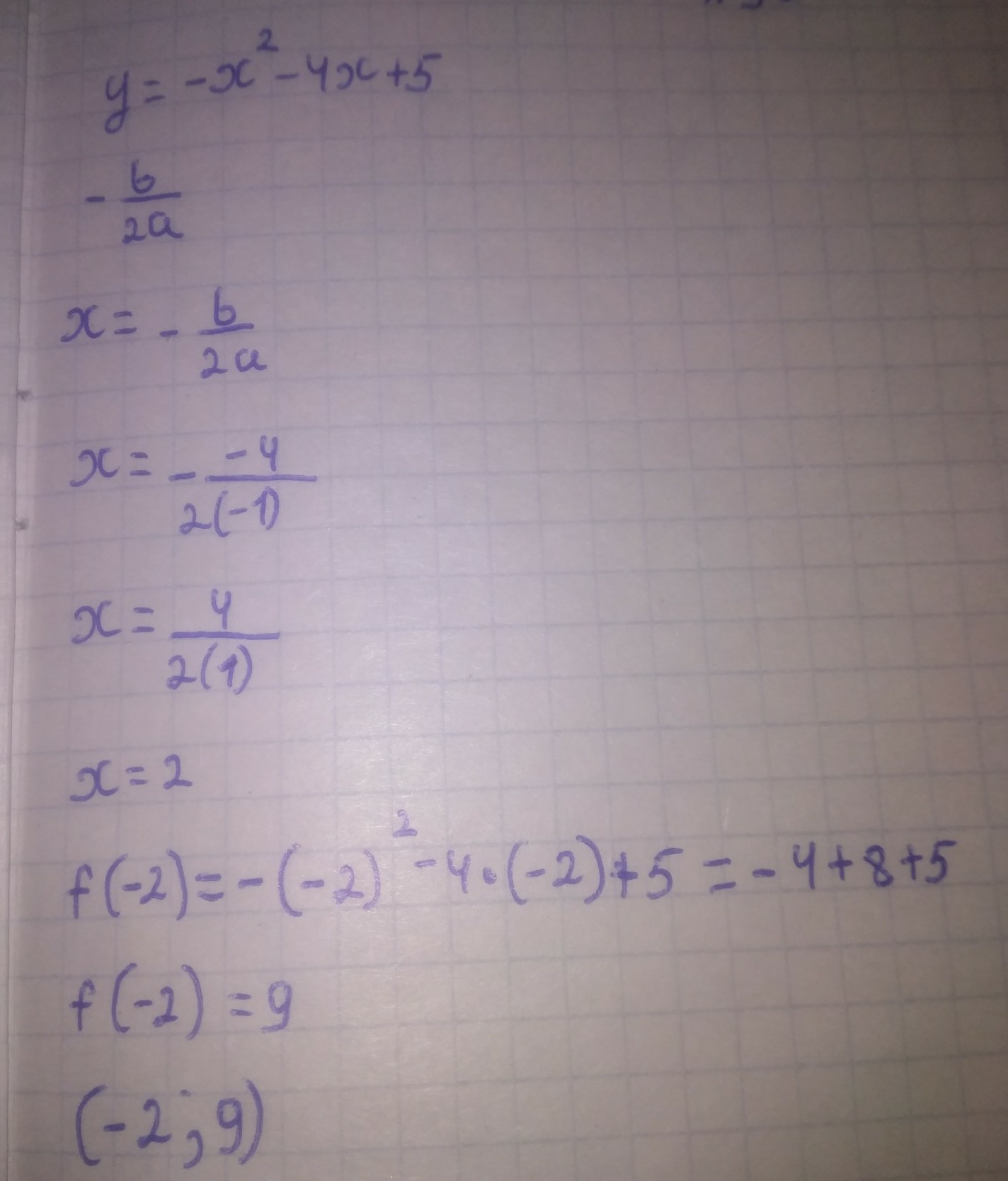
Найдите наибольшее значение функции y=-x^2-4x+5 на отрезке (-1;0)
Решите пожалуйста очень нужно
50 баллов.
Ответы
Ответ дал:
0
Решение на фото, не забудь поставить лайк, и сделать мой ответ - лучшим.
Приложения:


Ответ дал:
0
Ответа нет. Не названы наибольшее и наименьшее значение на промежутке. Исправьте, пожалуйста, решение.
Вас заинтересует
2 года назад
2 года назад
3 года назад
9 лет назад
9 лет назад