• Предмет: Геометрия
  • Автор: tatyankabalash
  • Вопрос задан 8 лет назад

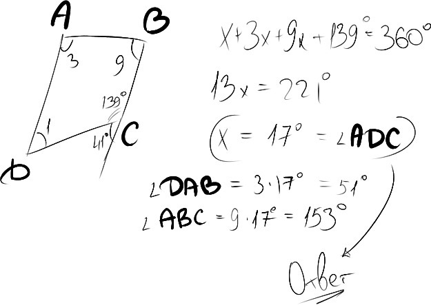
Один из внешних углов четырехугольника равен 41°. Углы четырехугольника не смежные с данным внешним углом относятся как 1 :3 :9Найдите градусную меру меньшего из этих углов

Ответы

Ответ дал: csharp
0

В решении может стать неясно, откуда появился угол 139°, поясняю: развёрнутый угол, который равен 41° в сумме с ∠DCB даст нам развёрнутый, то есть 180°. Отсюда легко выяснить, чему равен ∠DCB = 180° - 41° = 139°

Ответ

17°

Приложения:
Вас заинтересует