Ответы
Ответ дал:
0
ПОМОГИТЕ РЕШИТЬ!ПРОШУ,УМОЛЯЮ)).
ГЕОМЕТРИЯ 7 КЛАСС
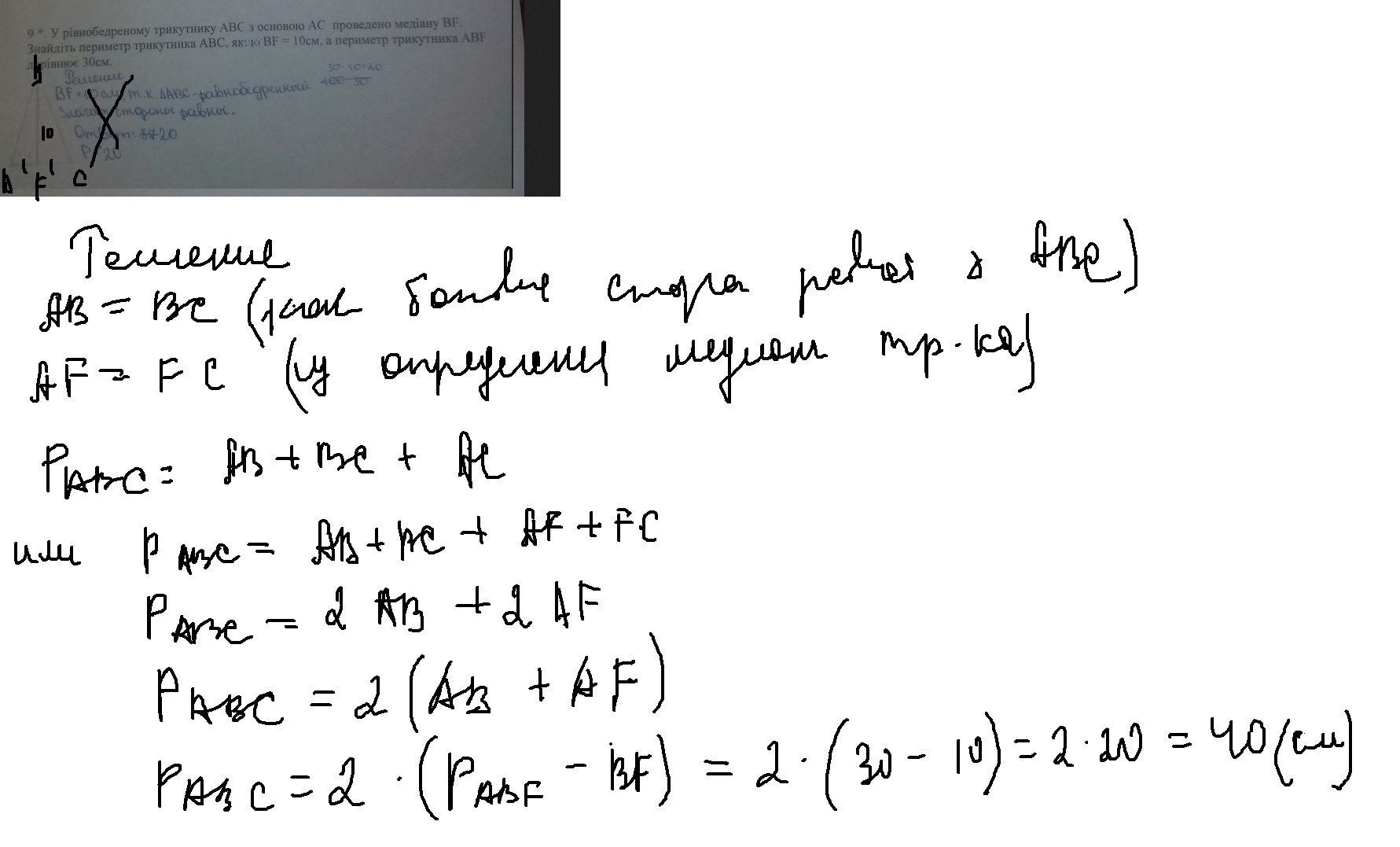
Приложения:


Вас заинтересует
2 года назад
3 года назад
9 лет назад
9 лет назад
9 лет назад