Ответы
Ответ дал:
0
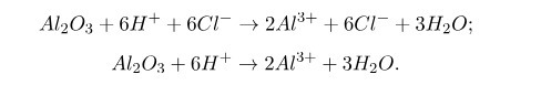
Al2O3 + 6HCl = 2AlCl3 + 3H2O
Ионное во вложении
Приложения:

Вас заинтересует
2 года назад
3 года назад
3 года назад
9 лет назад