• Предмет: Химия
  • Автор: valeriist
  • Вопрос задан 8 лет назад

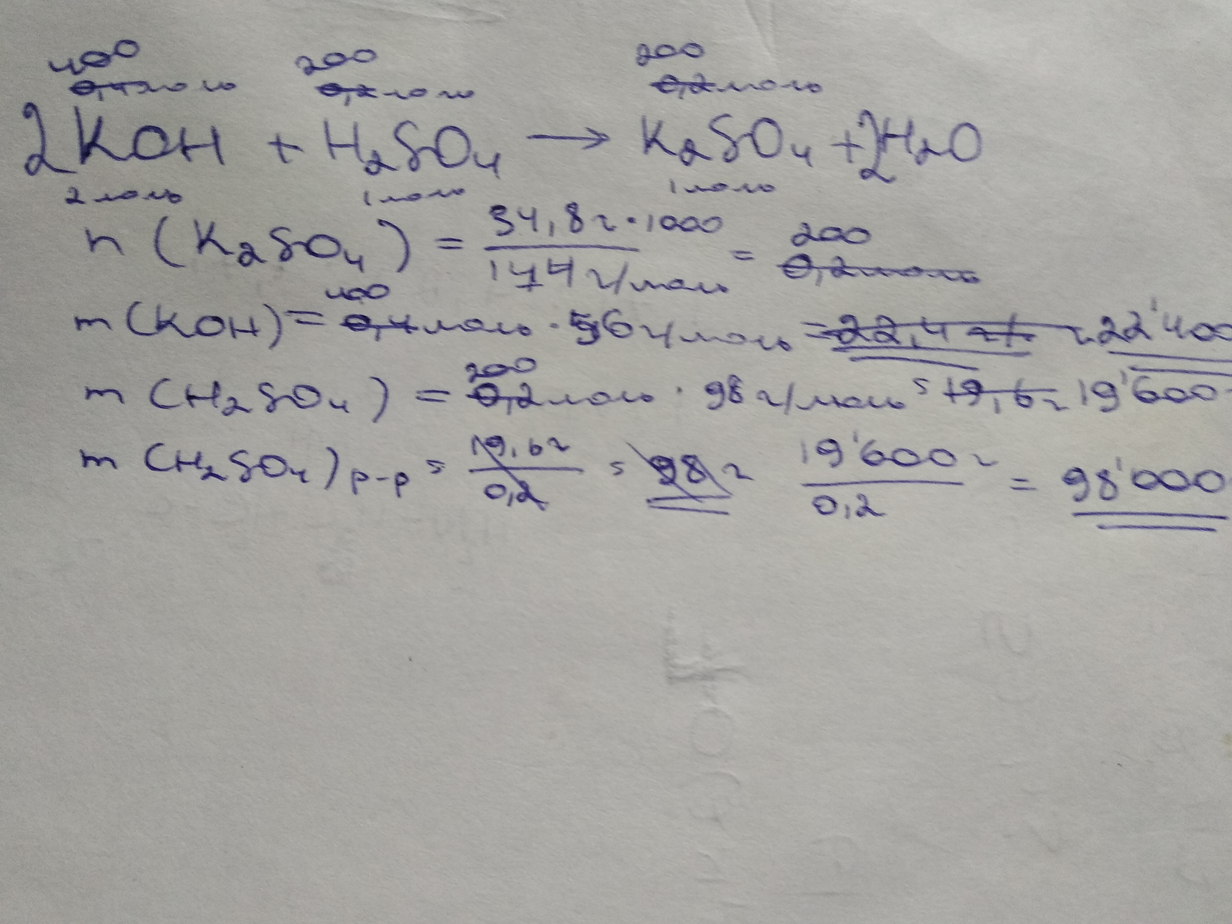
Найдите массу гидрокиста калия и 20%ной серной кислоты, необходимых для получения 34.8 кг сульфата калия

Ответы

Ответ дал: sashabieliants2
0

Странно, что в условии килограммы, все обычно решается в граммах, и ответ тоже вышел в них, но если надо перевести, это, я думаю, сделать легко и без меня

Приложения:
Вас заинтересует