• Предмет: Химия
  • Автор: 5Antony5
  • Вопрос задан 8 лет назад

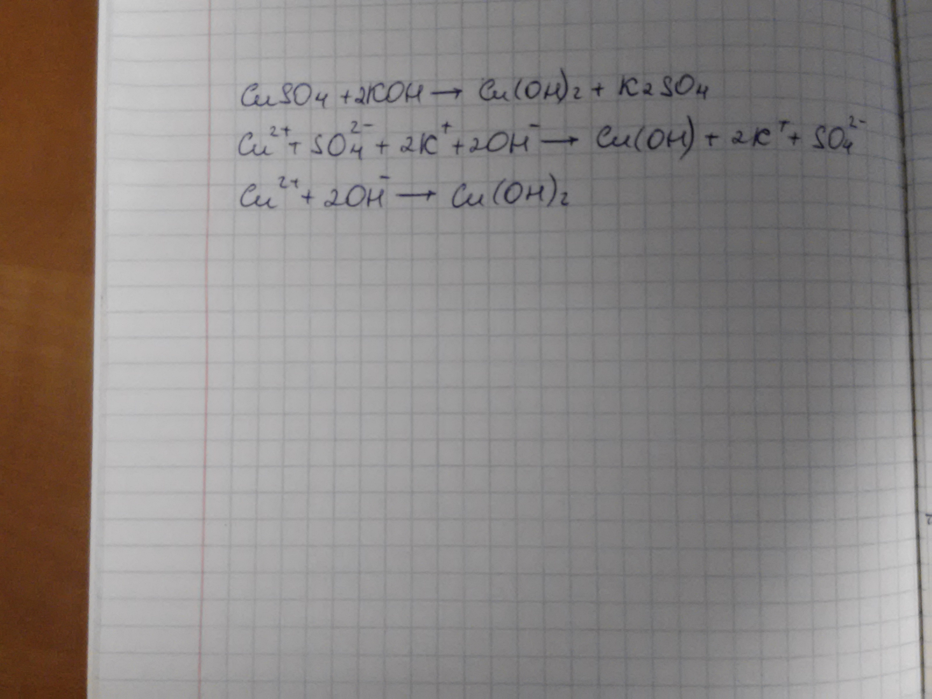
2. Напишите молекулярное и полное ионное уравнение, которые отвечают сокращенному ионному уравнению:

а) Cu²+ + 2OH- = Cu(OH)2↓

Ответы

Ответ дал: 78090
0

2. Напишите молекулярное и полное ионное уравнение, которые отвечают сокращенному ионному уравнению

Приложения:
Вас заинтересует