• Предмет: Математика
  • Автор: dgelilovaal3001
  • Вопрос задан 8 лет назад

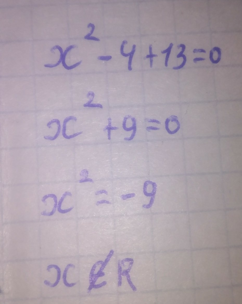
Х^2-4+13=0 решите квадратное уравнение используя понятие комплексных чисел

Ответы

Ответ дал: avakyanchanel
0
Решение на фото, не забудь поставить лайк, и сделать мой ответ - лучшим.
Приложения:
Вас заинтересует