помогите пожалуйста...
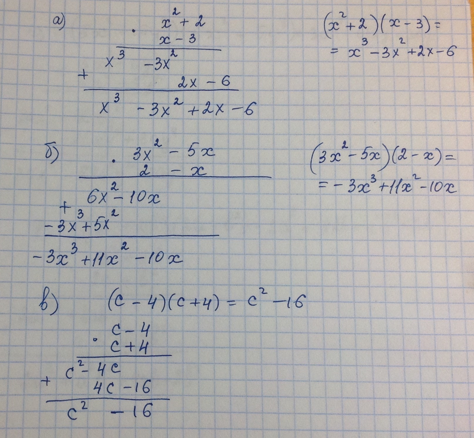
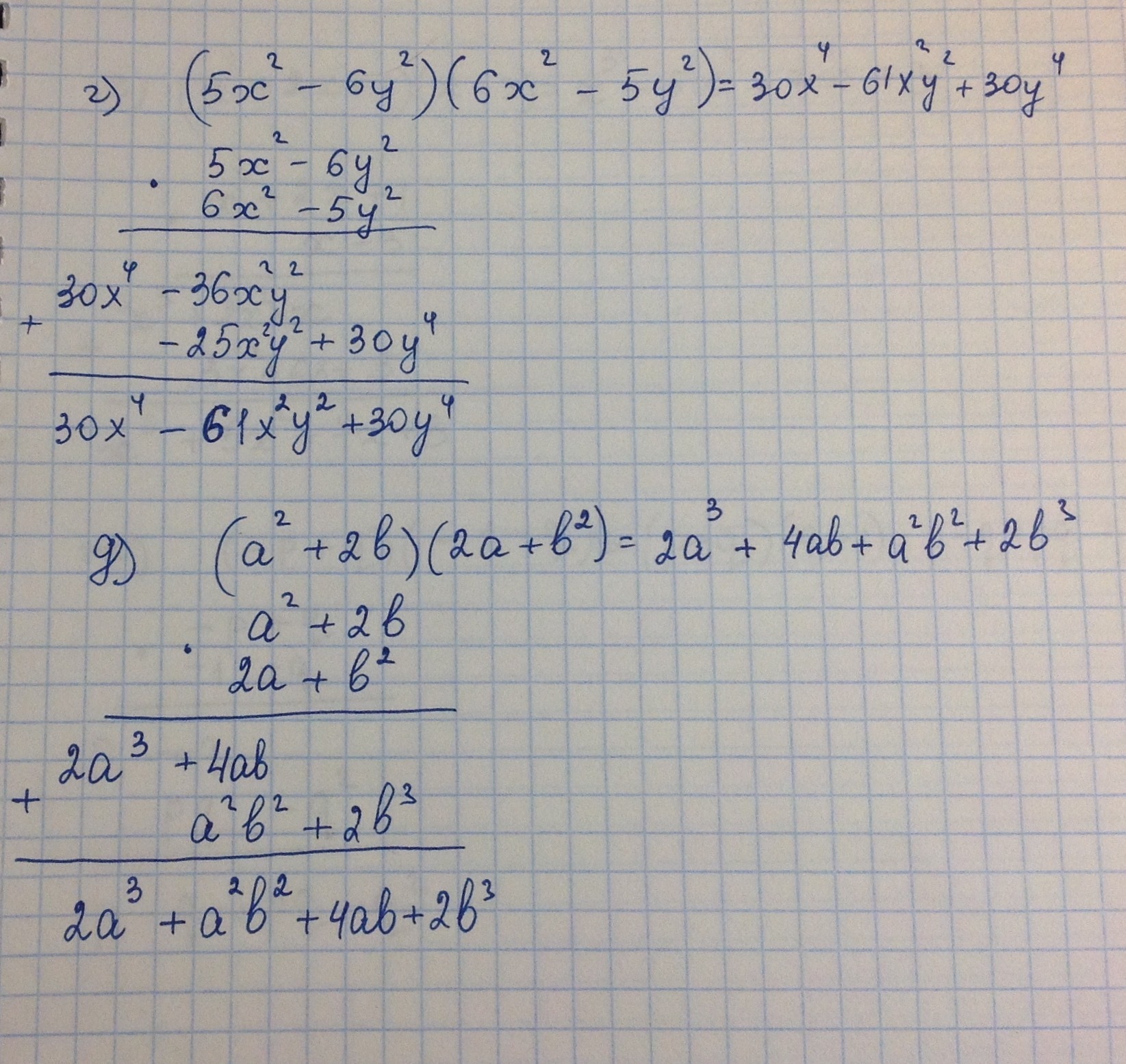
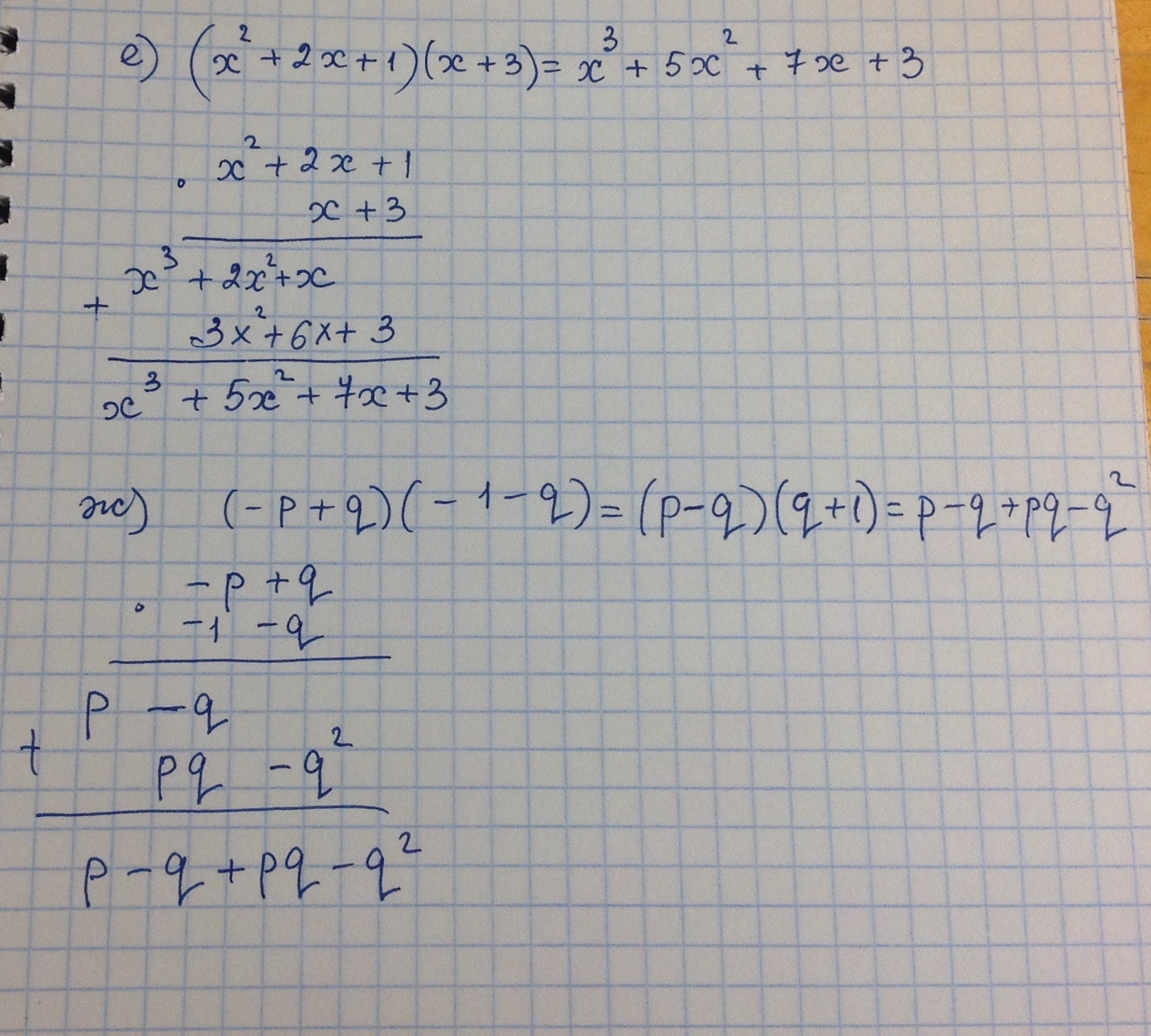
найдите произведение многочленов путем умножения столбиком
даю 100 балова
Приложения:

Ответы
Ответ дал:
0
Я не знаюююю сорииииии
Ответ дал:
0
Ответ:
Пошаговое объяснение:
Ответ на фото/////////////
Приложения:




Вас заинтересует
2 года назад
3 года назад
3 года назад
8 лет назад
8 лет назад
9 лет назад