• Предмет: Математика
  • Автор: polinakotigina15
  • Вопрос задан 8 лет назад

Решите тригонометрическ уравнение
3cosx-sin2x=0

Ответы

Ответ дал: avakyanchanel
0
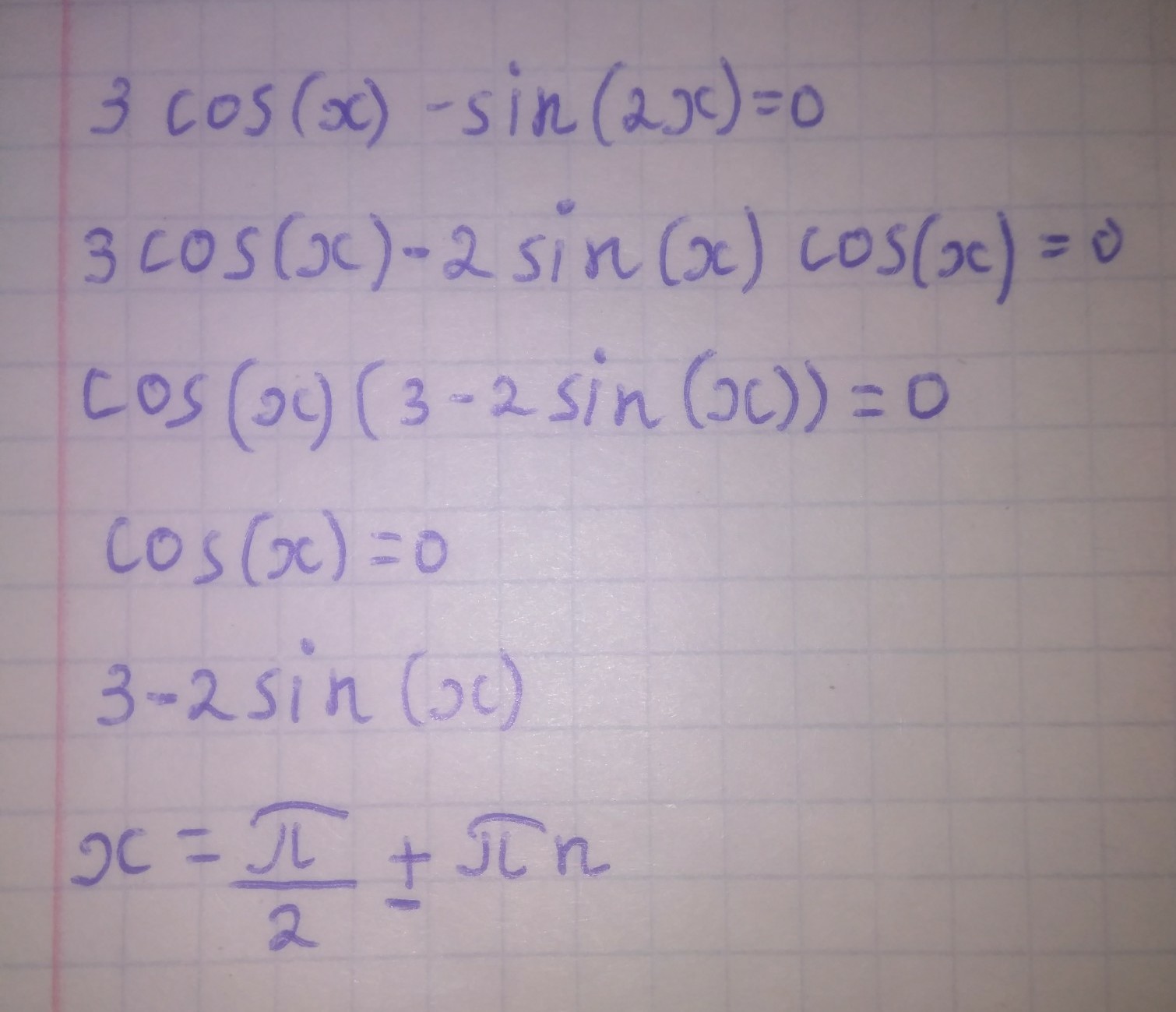
Решение на фото, не забудь поставить лайк, и сделать мой ответ - лучшим.
Приложения:
Ответ дал: matilda17562
0
Решение далеко от совершенства. Нет никаких пояснений по поводу решения уравнения 3 - 2
Ответ дал: matilda17562
0
3-2sinx = 0. А во втором множестве решений удивило слагаемое ± πn. Что за n в этом равенстве?
Ответ дал: avakyanchanel
0
По формуле
Ответ дал: matilda17562
0
Исправьте и допишите, пожалуйста, решение. Нет формул, на которые Вы ссылаетесь.
Вас заинтересует