Ответы
Ответ дал:
0
Вот Это правильное Я тебе говорю
Приложения:

Ответ дал:
0
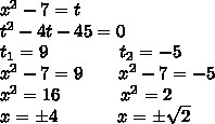
(х²-7)²-4(х²-7)-45=0
Пусть х²-7=р, тогда р²-4р-45=0
По теореме Виета:
р1 + р2= -в
р1 × р2= с, тогда р1= -5 ; р2= 9
Подставляем корни в выражение х²-7=р
х²-7=-5 х²-7=9
х²=2 х²=16
х= -√2 х= -4
х= √2 х= 4
Ответ: -4; -√2; √2; 4
Приложения:

Вас заинтересует
2 года назад
2 года назад
3 года назад
3 года назад
8 лет назад