Ответы
Ответ дал:
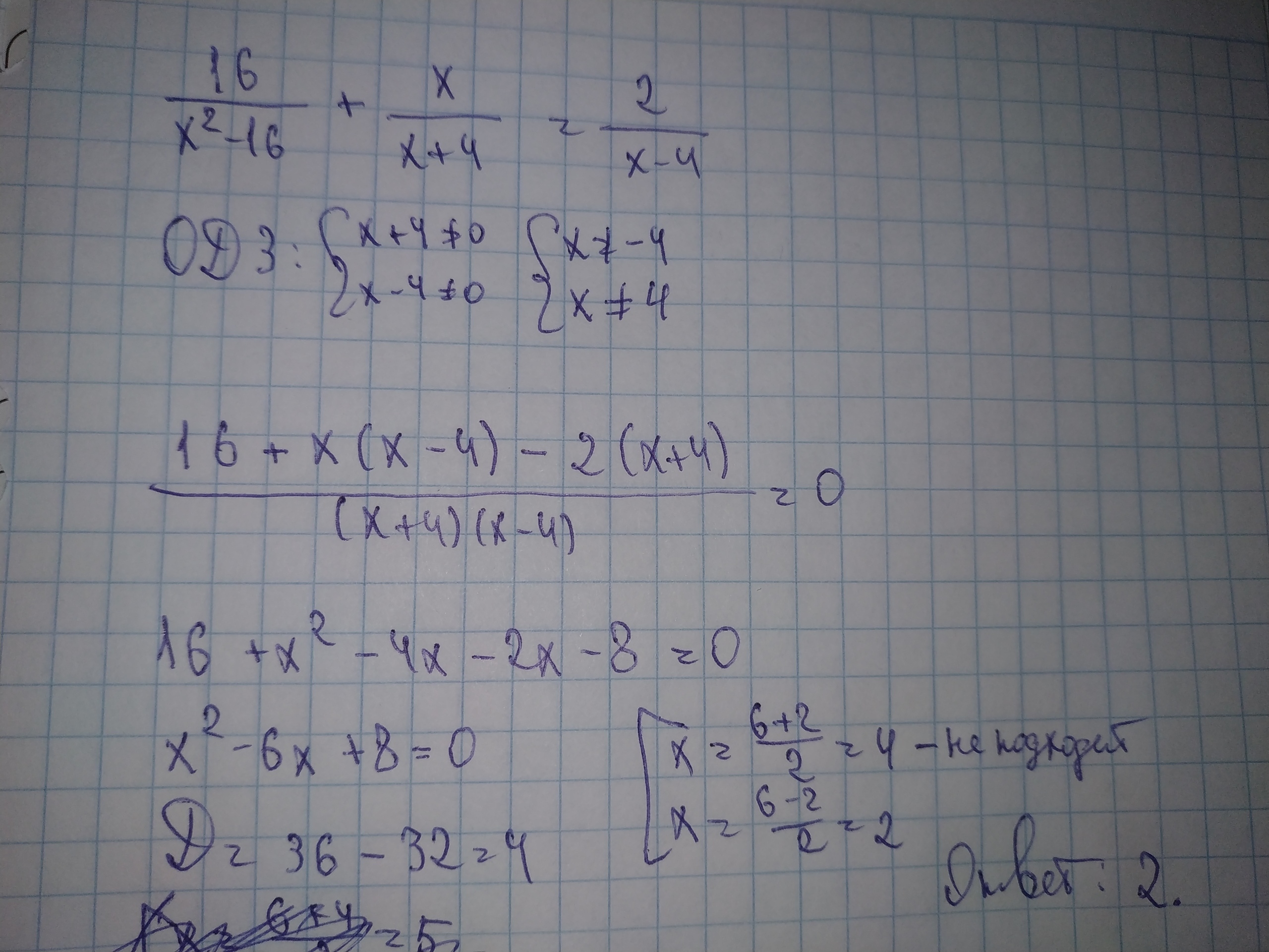
0
/////////////////////////
Приложения:

Вас заинтересует
2 года назад
3 года назад
9 лет назад
9 лет назад
9 лет назад