• Предмет: Алгебра
  • Автор: Даня324556
  • Вопрос задан 8 лет назад

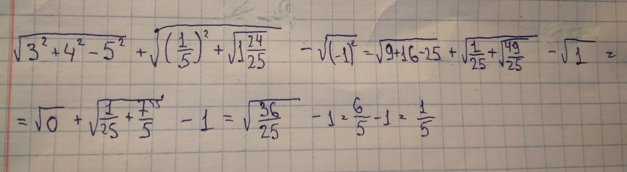
Найдите значение выражения

Приложения:

Ответы

Ответ дал: Дейлионна
0
Ответ смотри на фото
Приложения:
Вас заинтересует