• Предмет: Математика
  • Автор: Jacksoon95
  • Вопрос задан 8 лет назад

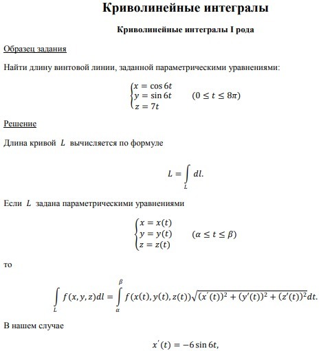
криволинейные интегралы 1 рода.

Приложения:

Ответы

Ответ дал: Segrif
0

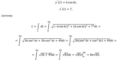
5)

x' = -2sin 2t, y' = 2 cos 2t, z' = 5

dl = √( 4sin²2t + 4cos²2t + 25 )dt = √29dt

L = ∫ √29 dt | (0, 3π) = 3π √29


6)

x' = 2cos 2t, y' = -2sin 2t, z' = 5

dl = √(4cos²2t + 4sin²2t + 25)dt = √29 dt

L = ∫ √29 dt | (0, 4π) = 4π √29

Вас заинтересует