• Предмет: Математика
  • Автор: tencatav13
  • Вопрос задан 8 лет назад

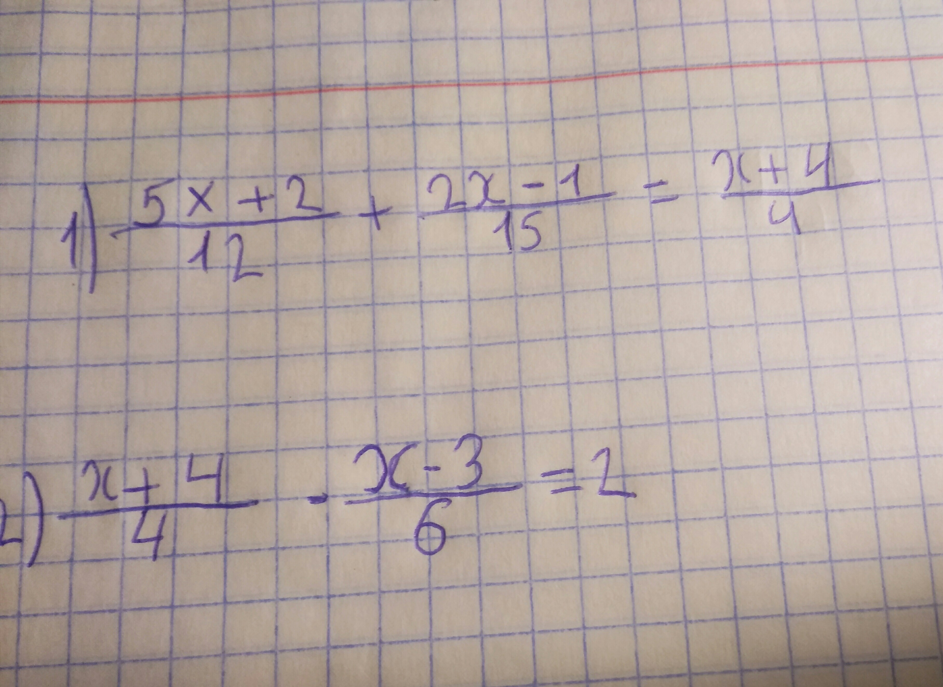
Решите все подробно

Приложения:

Ответы

Ответ дал: jekadva
0

Ответ:


Пошаговое объяснение:

умножим уравнение на 60 чтобы избавиться от дроби

5*(5x+2) + 4*(2x - 1) = 15*(x+4)

25x + 10 + 8x - 4 = 15x + 60

33x + 6 = 15x + 60

33x - 15x = 60 - 6

18x = 54

x = 54 : 18

x = 3

===============

умножим на 12

3*(x + 4) - 2*(x - 3) = 2*12

3x + 12 - 2x + 6 = 24

x + 18 = 24

x = 24 - 18

x = 6

Вас заинтересует