• Предмет: Алгебра
  • Автор: gdima906
  • Вопрос задан 8 лет назад

Решите пж, очень срочно надо.
^-степень
/-дробь

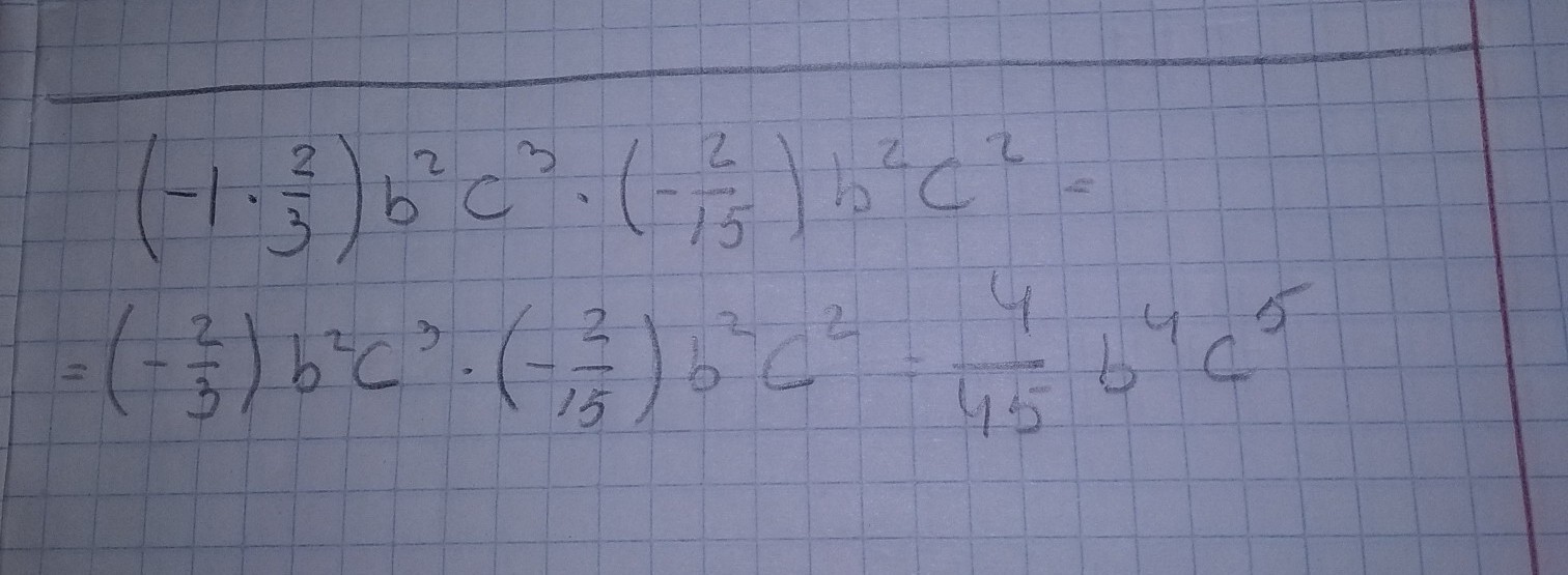
(-1 2/3 ) b^2c^3 * (-2/15) b^2c^2



Ответы

Ответ дал: serjprime
0
в следующий раз побольше баллов
Приложения:
Ответ дал: gdima906
0
Спасибо,братан.
Вас заинтересует