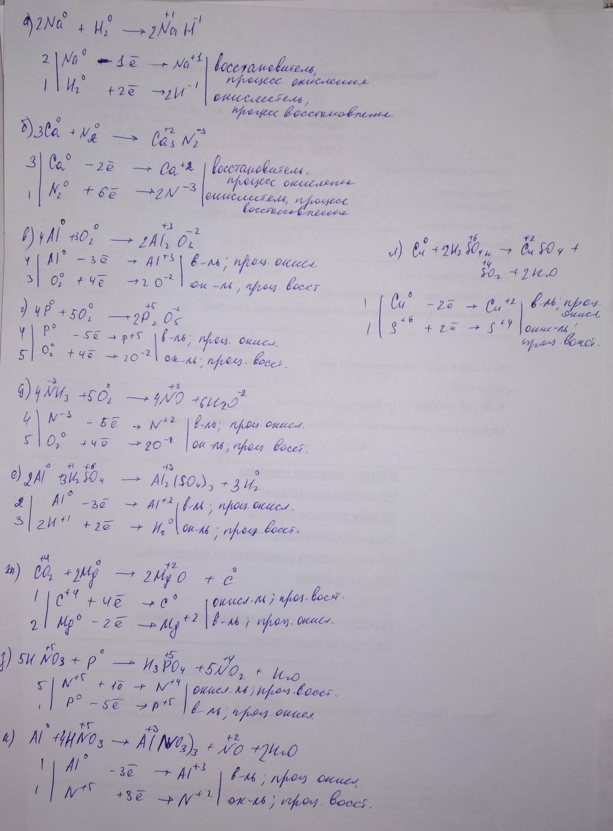
Ребят нужна помощь!!!
1)Расставьте коэффициент в схемах реакций методом электронного баланса.
2)Укажите окислитель и восстановитель, процессы окисления и восстановления.
Всё что на фото Пожалуйста))) Заранее спасибо.
Приложения:

Ответы
Ответ дал:
0
Решение во вложении
Приложения:

Вас заинтересует
2 года назад
3 года назад
3 года назад
9 лет назад
9 лет назад