ПОМОГИТЕ УМОЛЯЮ! Упростите выражения,применяя распредилительное и сочитательное свойства сложения и умножения
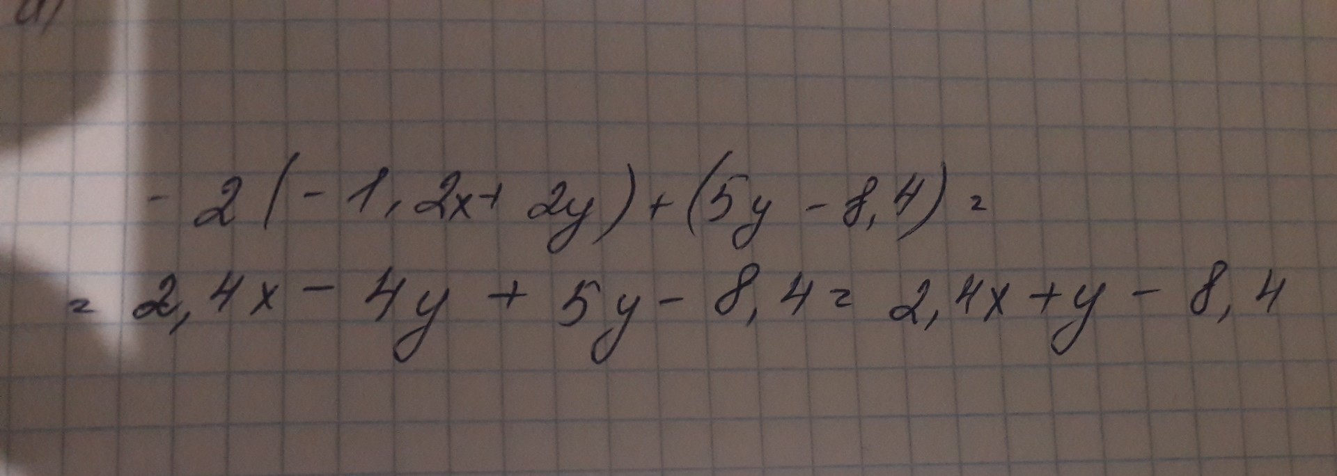
-2(-1,2x+2y)+(5y-8,4)
                        
                            
                            
                    Ответы
                                            Ответ дал: 
                                                                                    
                                        
                                            
                                                
                                                
                                                
                                                    0
                                                
                                            
                                        
                                    
                                        вот так.....................
                                    
                                                Приложения:
                    
                            Вас заинтересует
                
                        2 года назад
                    
                
                        9 лет назад
                    
                
                        9 лет назад