Помогите девочке с Физикой , дам 35 баллов =333
1)Исключите лишнее понятие:
а)Распространение света б)отражение в)интерференция г)дисперсия д)поляризация е)фотоэффект ж)дифракция з)преломление
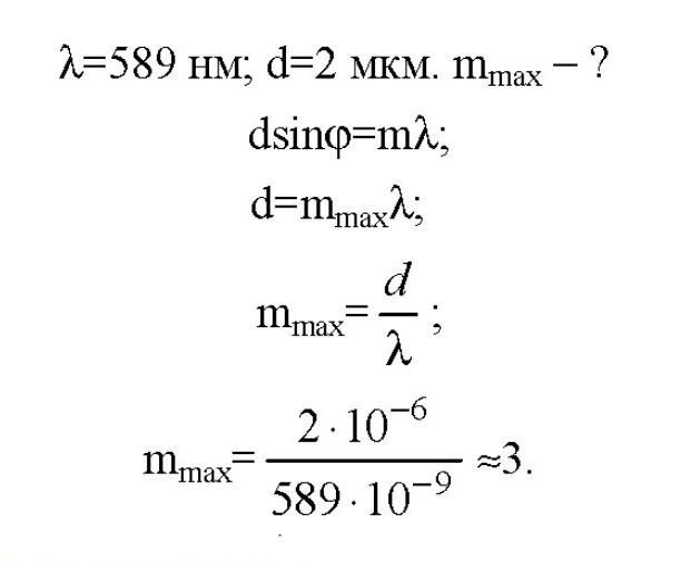
2)Определите наибольший порядок спектра,наблюдаемый при падении плоской волны на дифракционную решетку с периодом 0,2 мм и длиной 500 нм
Ответы
Ответ дал:
0
1. д), ж), з),
2) вместо этих цифр поставьте свои во втором задании
2) вместо этих цифр поставьте свои во втором задании
Приложения:

Ответ дал:
0
реши мне её
Ответ дал:
0
ишак
Вас заинтересует
2 года назад
3 года назад
9 лет назад
9 лет назад