• Предмет: Алгебра
  • Автор: dimenter80901
  • Вопрос задан 8 лет назад

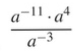
надосокротить сакротить при а=3 b=8

Приложения:

Ответы

Ответ дал: iamcleverboY69
0

путём сокращений получаем а в степени -11+4-(-3) = а^-4

3^-4 = 1/81

Вас заинтересует