Ответы
Ответ дал:
0
Ответ:
Пошаговое объяснение:
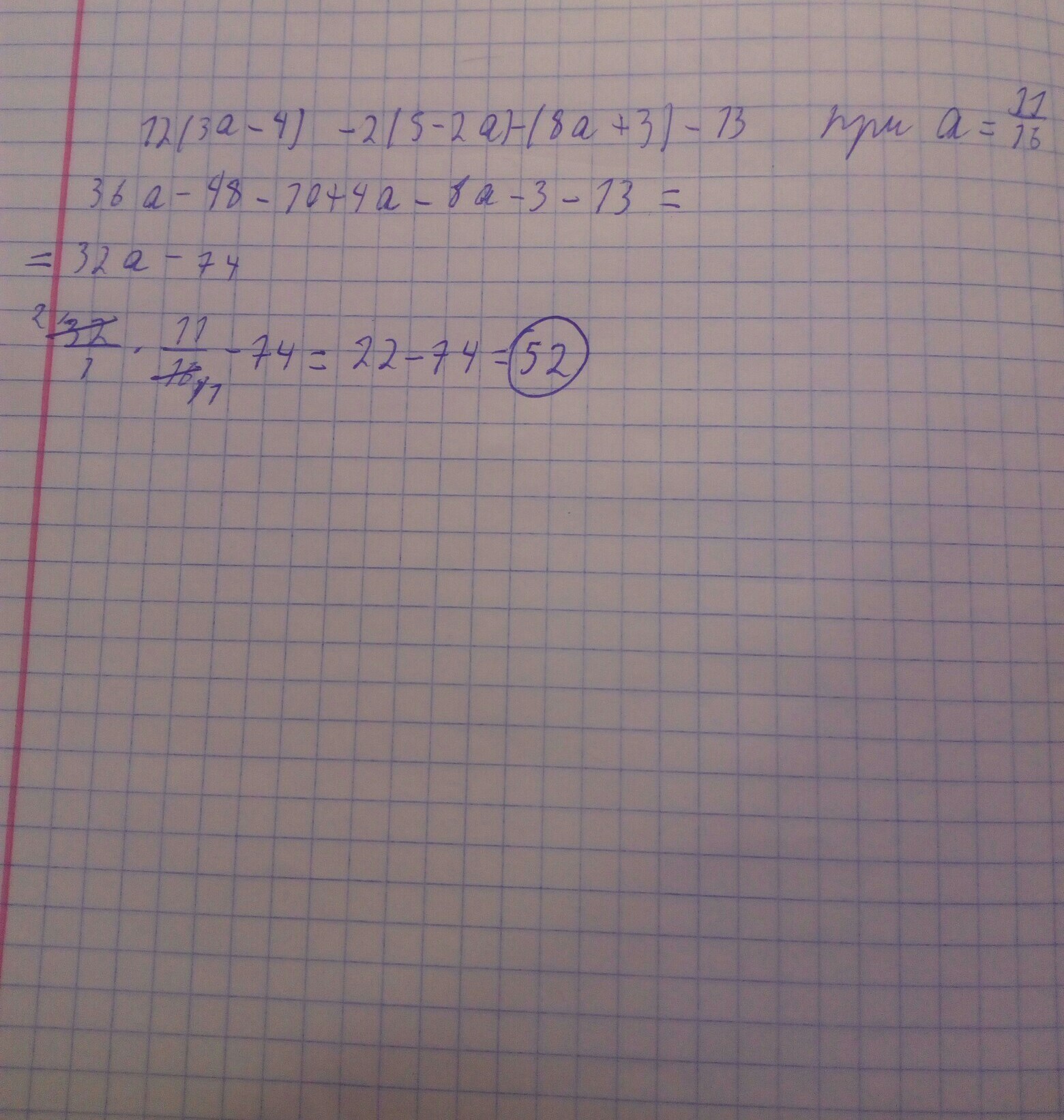
36а-48-10+4а-8а-3-13=
=32а-74=32*11/16-74=22-74=-52
Если я вас правильно понела.там в конце вы скобку обратно поставили
Ответ дал:
0
............................
Приложения:

Вас заинтересует
2 года назад
3 года назад
3 года назад
9 лет назад
9 лет назад
9 лет назад