Ответы
Ответ дал:
0
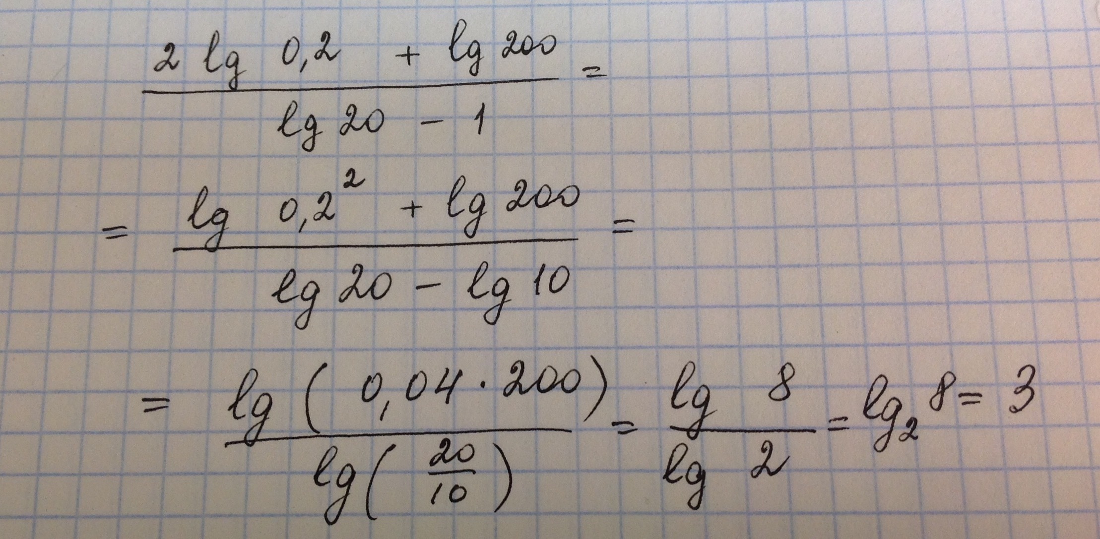
[tex]frac{(2lg0,2+lg200)}{lg20-1} =frac{lg(0,2^{2} *200)}{lg20-lg10} =frac{lg(0,04*200)}{lg(20:10)} =frac{lg8}{lg2} =㏒₂8=3
Ответ дал:
0
Ответ на фото///////////
Приложения:

Вас заинтересует
2 года назад
2 года назад
3 года назад
3 года назад
8 лет назад
8 лет назад
9 лет назад