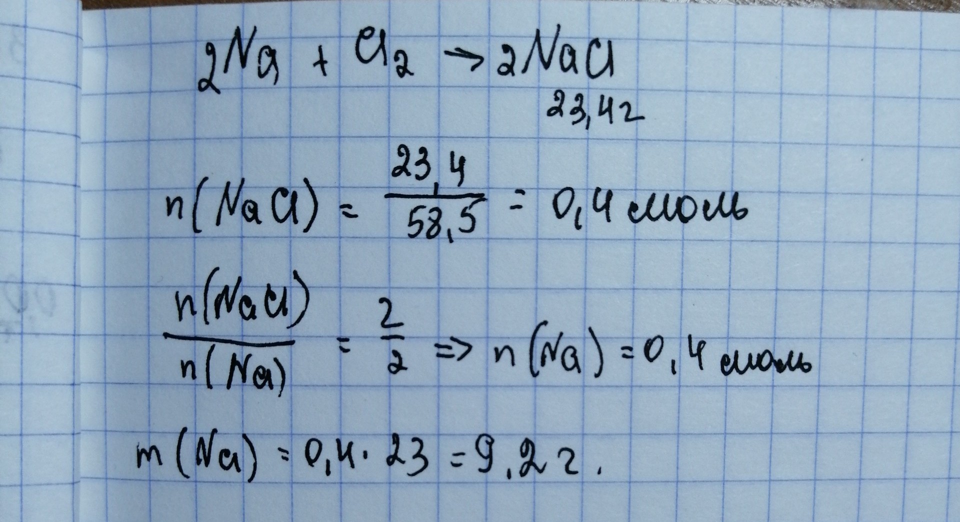
при реакции избытка хлора с натрием образовалось 23,4г соли. рассчитайте массу натрия, вступившего в реакцию
Ответы
Ответ дал:
0
Решение задачи на фото
Приложения:

Вас заинтересует
2 года назад
2 года назад
3 года назад
3 года назад
9 лет назад
9 лет назад