Ответы
Ответ дал:
0
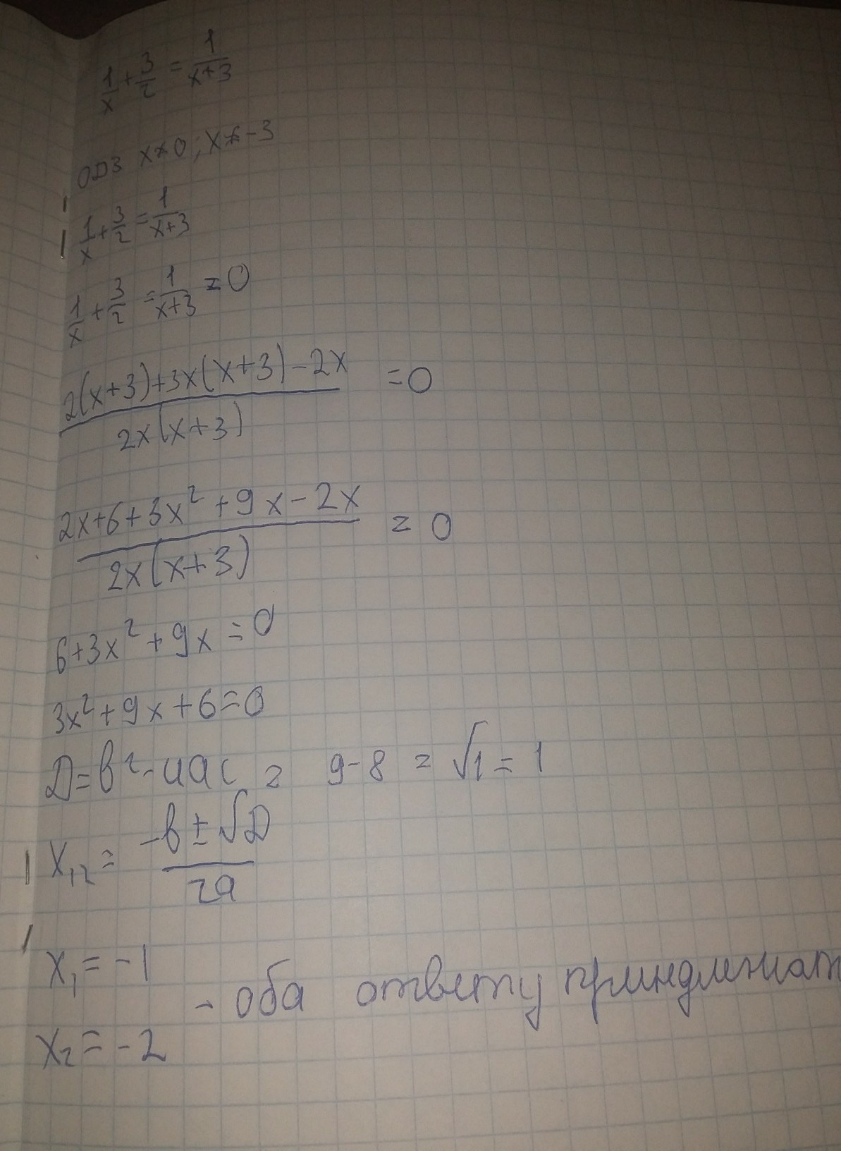
Решение во вложении.
Надеюсь помог)
Надеюсь помог)
Приложения:



Ответ дал:
0
спасибо
Ответ дал:
0
Всегда пожалуйста)
Ответ дал:
0
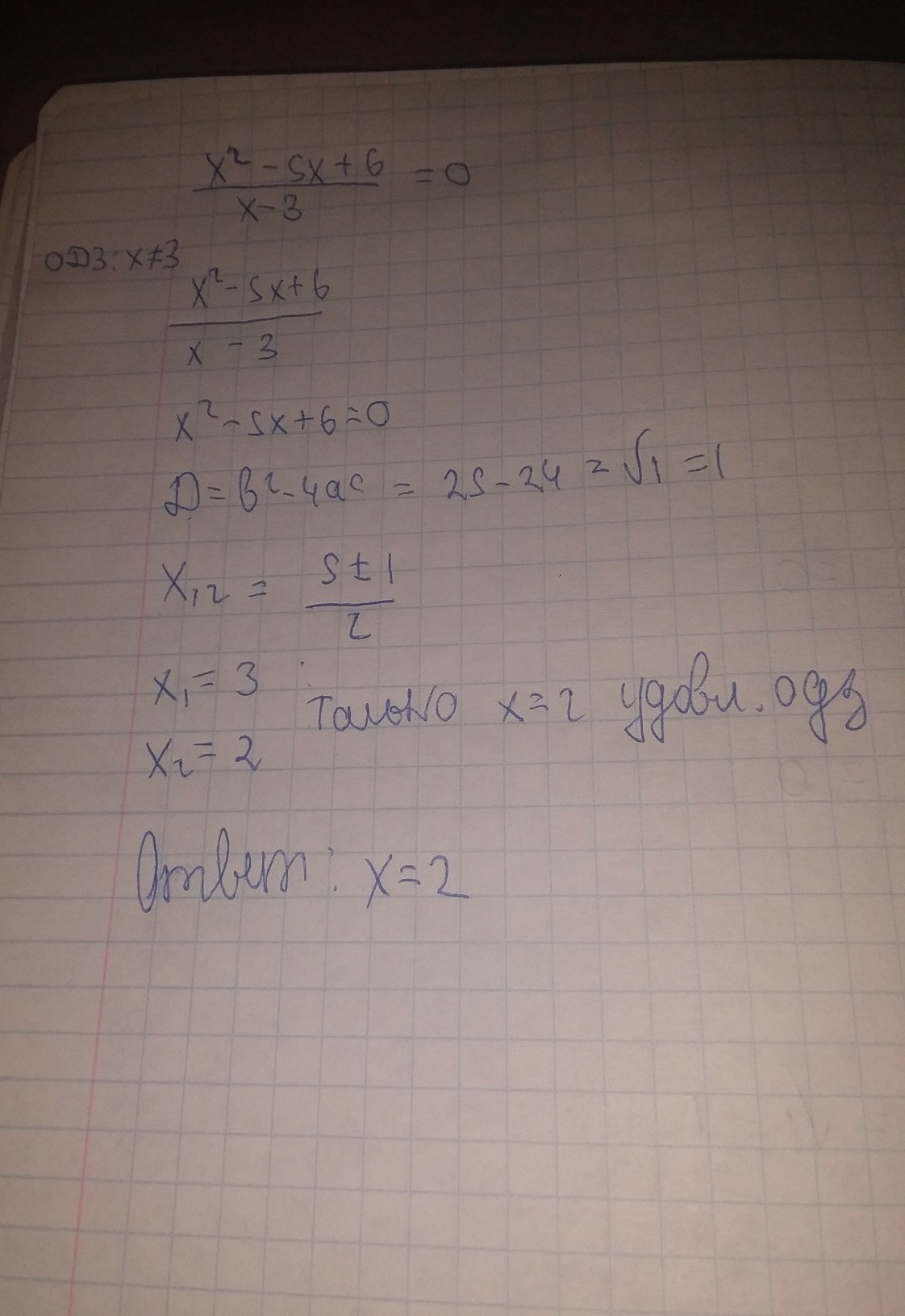
Ответ:
2
Пошаговое объяснение:сначала ОДЗ, потом к общему знаменателю, решаем пропорцию
Приложения:


Ответ дал:
0
благодарю)
Вас заинтересует
2 года назад
2 года назад
3 года назад
9 лет назад
9 лет назад
9 лет назад