Ответы
Ответ дал:
0
Ответ:
Пошаговое объяснение:
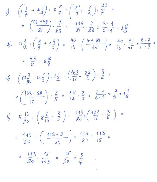
см. вложение...........................
Приложения:

Ответ дал:
0
спасибо
Вас заинтересует
2 года назад
3 года назад
3 года назад
9 лет назад
9 лет назад