• Предмет: Математика
  • Автор: tima8852
  • Вопрос задан 8 лет назад

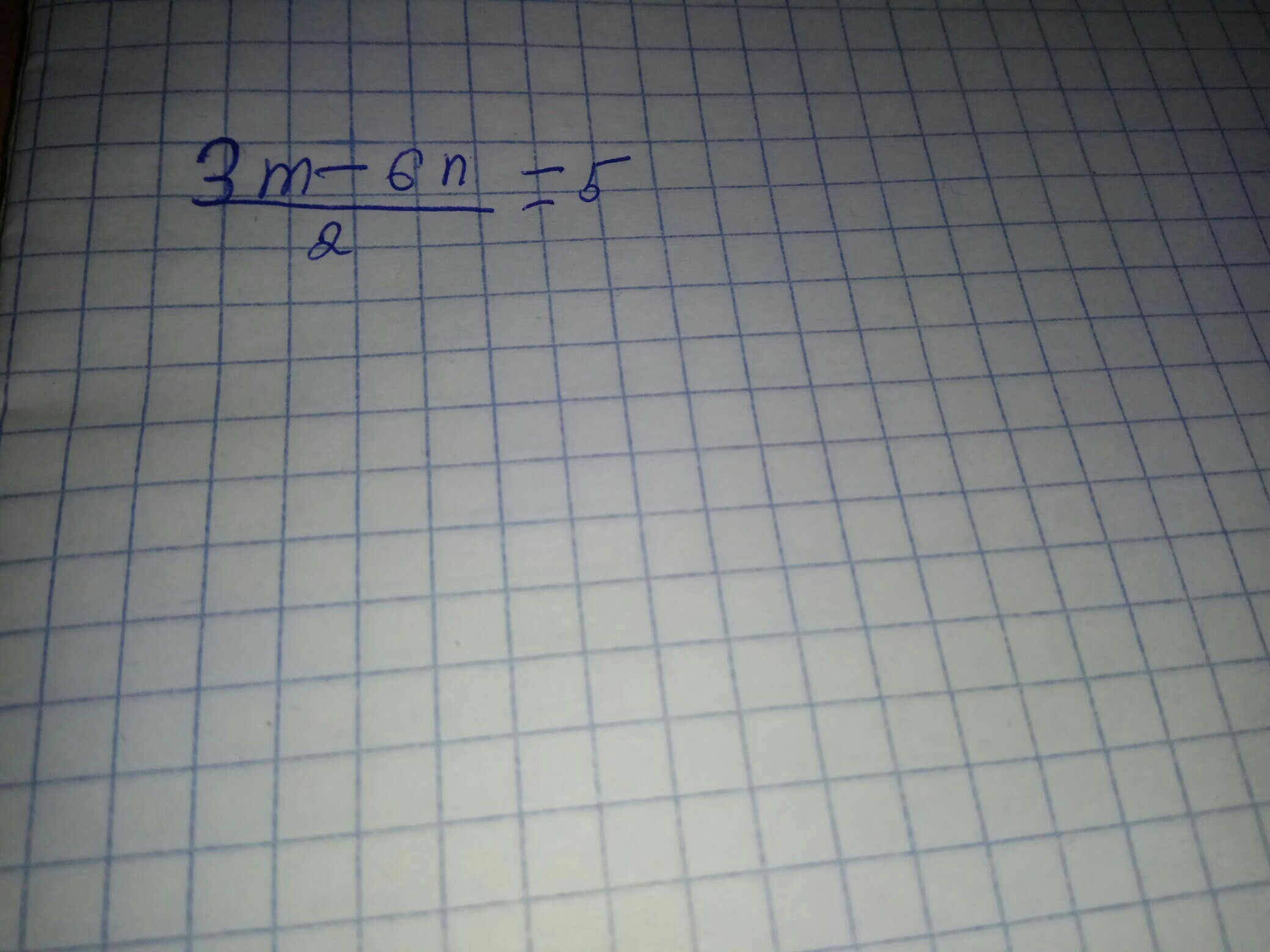
выразите переменную m через переменную n в выражении

Приложения:

Ответы

Ответ дал: Serpain228
0

Ответ:

m=(6n+10)/3

Пошаговое объяснение:

3m-6n=5*2

3m-6n=10

3m=6n+10

m=(6n+10)/3

Ответ дал: tima8852
0
как
Ответ дал: tima8852
0
скажииииии пж
Ответ дал: matilda17562
0
m=6n:3+10:3; m=2n+3 1/3.
Ответ дал: tima8852
0
спасибо
Ответ дал: Serpain228
0
Это неправильно.Действие до конца заканчивать не надо!
Вас заинтересует