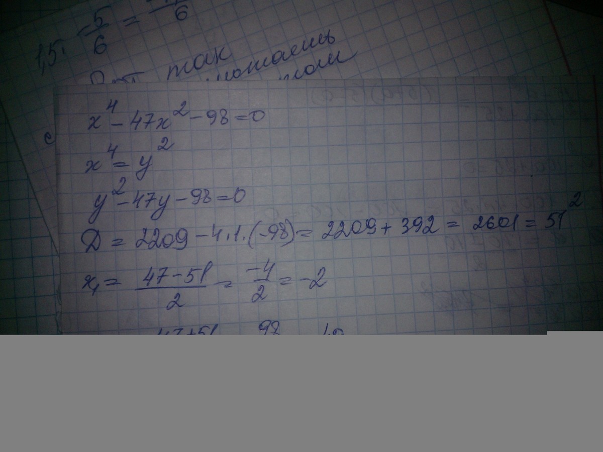
помогите!!! разложить на множители трехчлен:
"х в четвертой степени минус 47х квадрат минус 98
Пожалуйста
Ответы
Ответ дал:
0
Вооооооооооооот тааааак
Приложения:

Вас заинтересует
2 года назад
8 лет назад
8 лет назад
10 лет назад
10 лет назад
10 лет назад