• Предмет: Алгебра
  • Автор: kris7525
  • Вопрос задан 8 лет назад

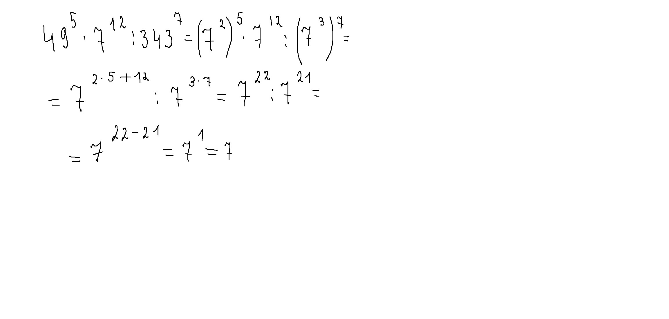
49 в 5 степени умножить на 7 в 12 степени разделить на 343 в 7 степени

Ответы

Ответ дал: genius1612
0

49^5 x 7^12 : 343^7 =

(7^2)^5 x 7 ^12 : (7^3)^7 =

7^10 x 7^12 : 7^21 =

7^(10+12-21) =

7^1 =

7

Ответ дал: parus77
0

решение смотри внизу

Приложения:
Вас заинтересует