Помогите, прошу! единственное задание, которое не могу сделать, от него зависит зачет!
Приложения:
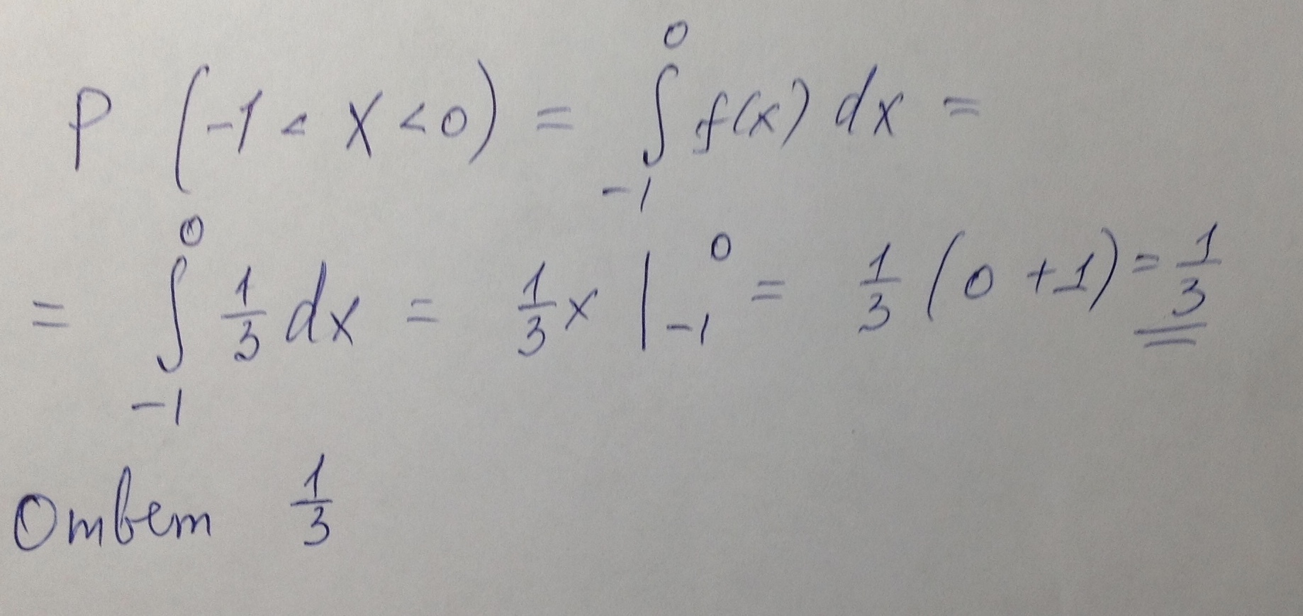
Ответы
Ответ дал:
0
/////////////////////////////////////////////////////
Приложения:
Вас заинтересует
2 года назад
2 года назад
3 года назад
3 года назад
9 лет назад
9 лет назад
10 лет назад
10 лет назад