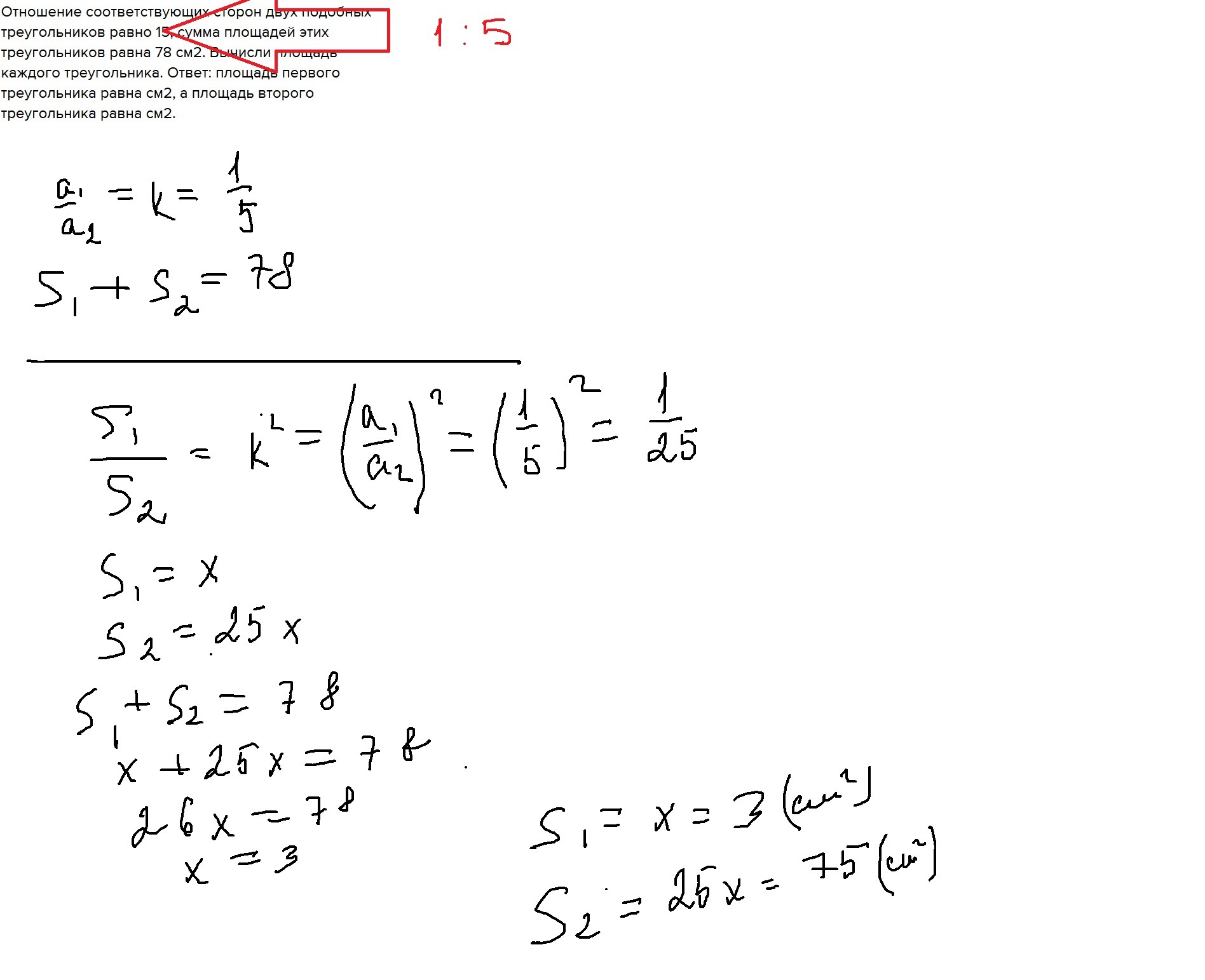
Отношение соответствующих сторон двух подобных треугольников равно 15, сумма площадей этих треугольников равна 78 см2. Вычисли площадь каждого треугольника. Ответ: площадь первого треугольника равна см2, а площадь второго треугольника равна см2.
Ответы
Ответ дал:
0
Отношение соответствующих сторон двух подобных треугольников равно
Приложения:

Вас заинтересует
2 года назад
2 года назад
3 года назад
9 лет назад
9 лет назад
9 лет назад