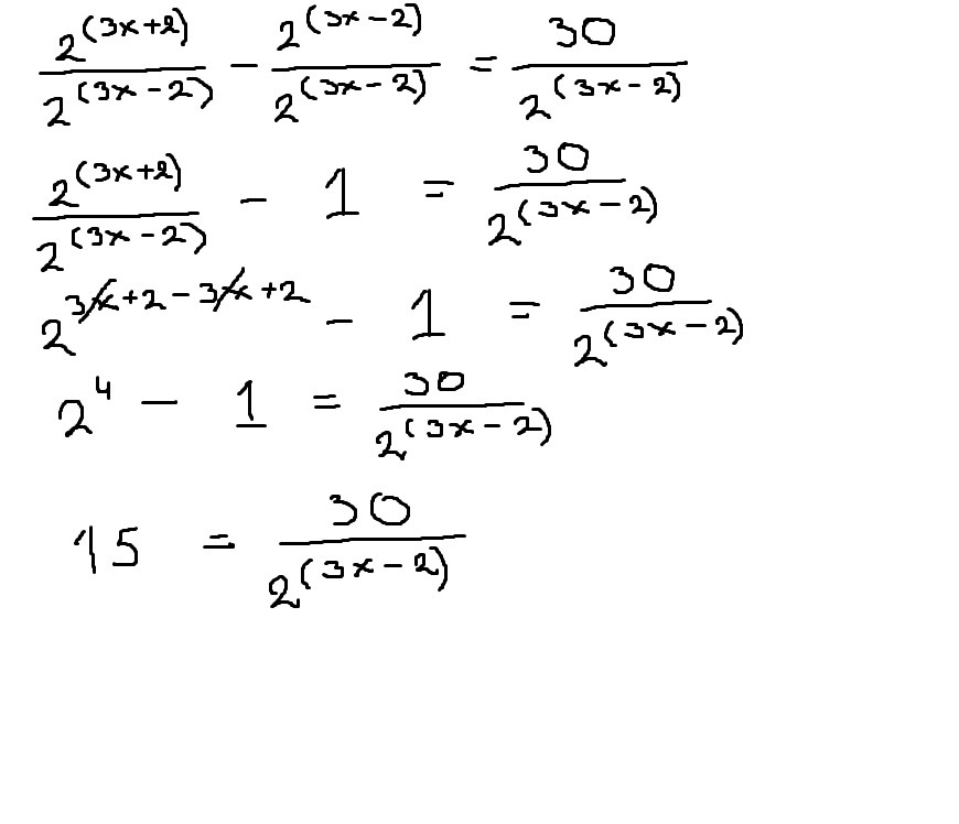
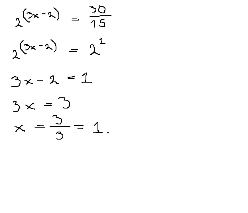
Объясните почему в примере 2^(3x+2)-2^(3x-2)=30 при упрощении получится (2^4-1)*2^(3x-2)=30. Куда девается х?? Как вообще происходит упрощение здесь??Очень нужно подробное объяснение!!!
Ответы
Ответ дал:
0
2⁽³ˣ⁺²⁾-2⁽³ˣ⁻²⁾=30
ОТВЕТ: х = 1
Приложения:


Вас заинтересует
2 года назад
2 года назад
3 года назад
8 лет назад
8 лет назад
9 лет назад
9 лет назад