• Предмет: Математика
  • Автор: Saphiren
  • Вопрос задан 8 лет назад

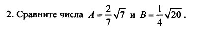
Сравните числа A и B

Приложения:

Ответы

Ответ дал: sofiyavictoria
0

Ответ:


Пошаговое объяснение:

А=√7*7/49=√4/7

В=√20*1/16=√5/4. Т. К. 5/4>4/7, то √5/4>√4/7. следовательно В>А

Вас заинтересует