• Предмет: Алгебра
  • Автор: sergo953777
  • Вопрос задан 8 лет назад

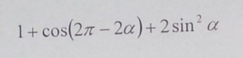
Упростить (только просьба нормально расписать)

Приложения:

Ответы

Ответ дал: dashasinitsyna01
0

1+cos(-2a)+2sin²a=

1+cos(2a)+2sin²a=

1+(2cos²a-1)+2sin²a=                  

1+2cos²a-1+2sin²a=

2cos²a+2sin²a=

2(cos²a+sin²a)=

2*1=2

Вас заинтересует