• Предмет: Алгебра
  • Автор: maybeshayganov
  • Вопрос задан 8 лет назад

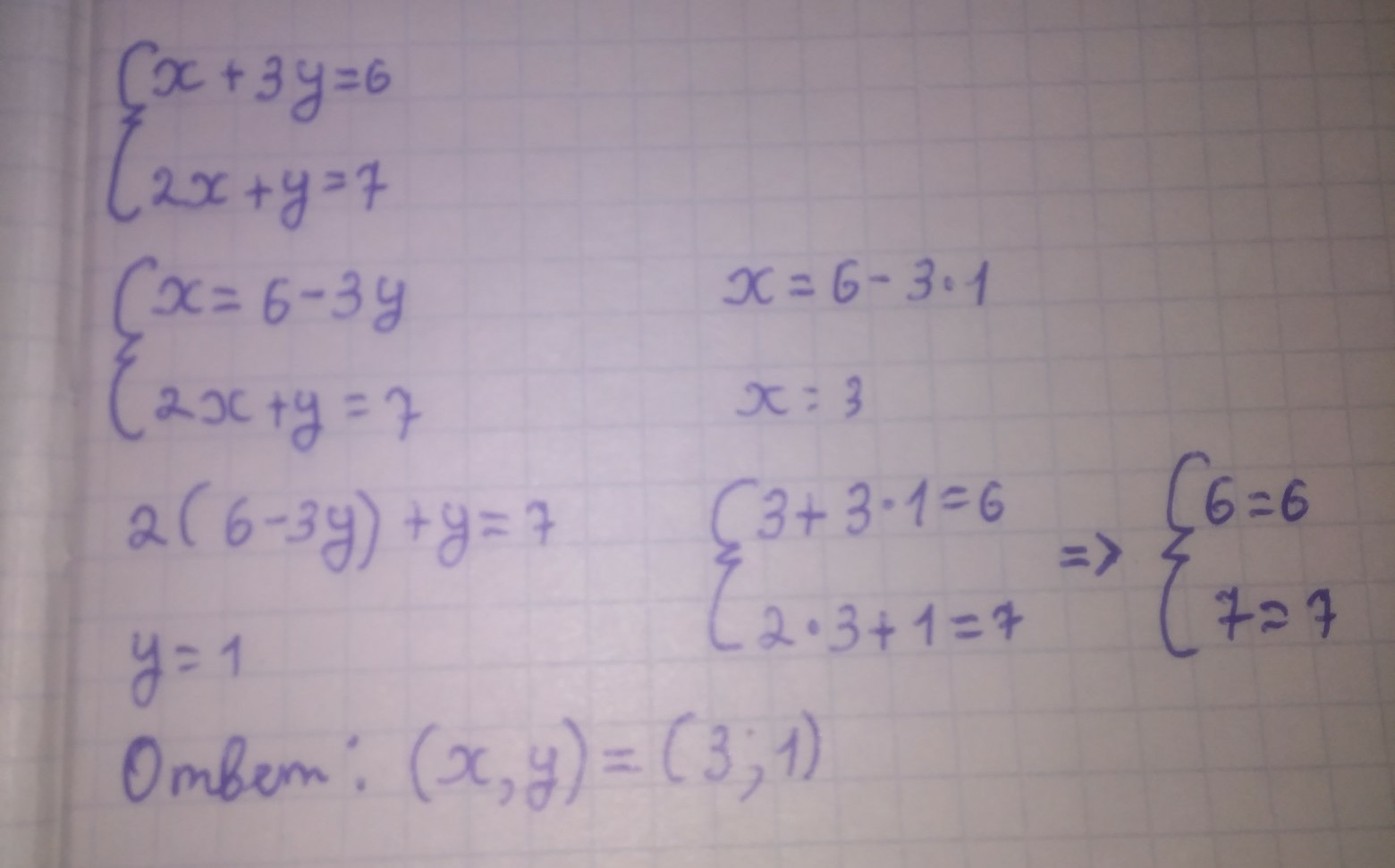
решите графически систему уравнения {x+3y=6 {2x+y=7

Ответы

Ответ дал: avakyanchanel
0
Решение на фото, не забудь поставить лайк, и сделать мой ответ - лучшим.
Приложения:
Вас заинтересует