• Предмет: Алгебра
  • Автор: KakasiTiyan
  • Вопрос задан 8 лет назад

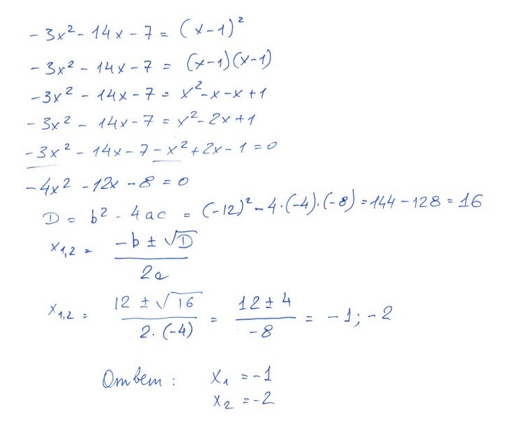
Решите уравнение
-3x^2-14x-7=(x-1)^2

Ответы

Ответ дал: Lod2000
0

см. вложение..........................

Приложения:
Вас заинтересует