• Предмет: Математика
  • Автор: love8902
  • Вопрос задан 8 лет назад

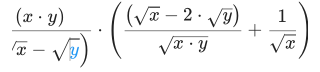
Упростить выражение (подробно)

Приложения:

Ответы

Ответ дал: taktakparol
0

Ответ:xy/корень из Х - корень из У * корень из Х - 2 корня из У + корень из У/ корень из У*Х= ХУ/ корень из Х - корень из У * корень из Х - корень из У / корень из У*Х = Х*У * 1/ корень из Х*У


Пошаговое объяснение:


Вас заинтересует