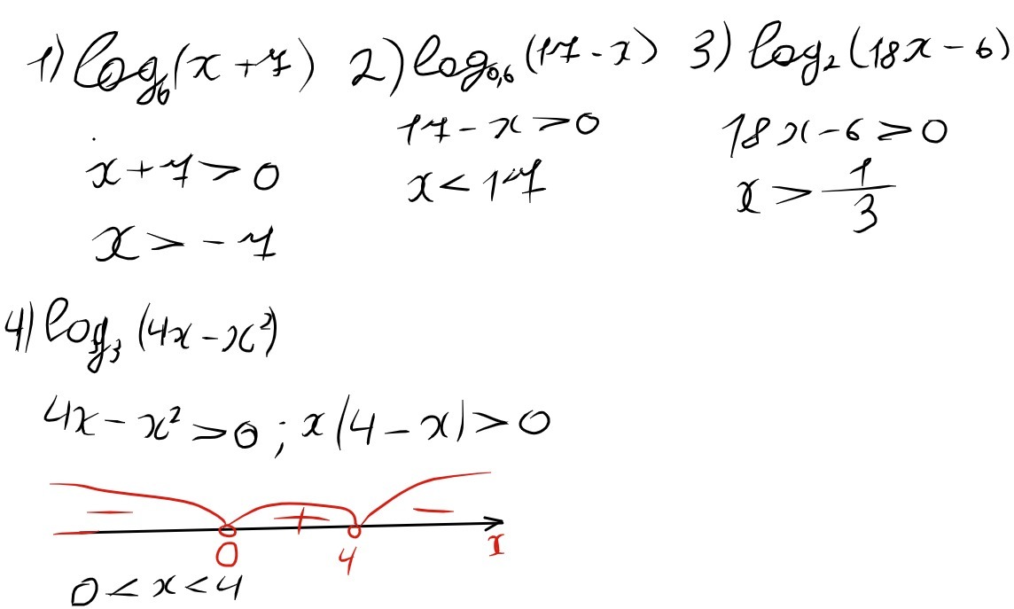
При каких значениях х существует выражение 1.log6(x+7) 2. Log0,6(17-x) 3. Log2(18x-6) 4. Log3(4x-x^2)
Ответы
Ответ дал:
0
****************************
Приложения:

Вас заинтересует
2 года назад
3 года назад
3 года назад
9 лет назад
9 лет назад
9 лет назад
9 лет назад