Ответы
Ответ дал:
0
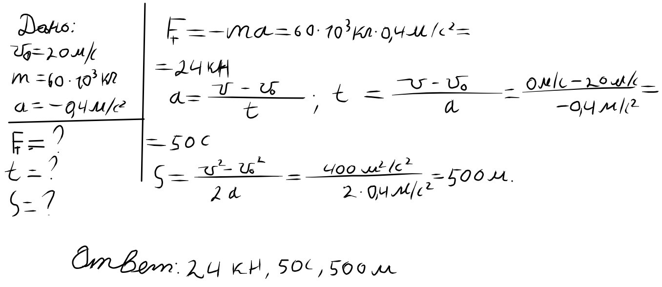
F=m*a=60*10^3*0,4=24*10^3 H F*S=m*V^2/2 S=m*V0^2/2*F=60*10^3*20^2/2*24*10^3=500 м t=V0/a=20/0,4=50 c
Ответ дал:
0
*/*************************************************
Приложения:

Вас заинтересует
2 года назад
3 года назад
3 года назад
9 лет назад