Ответы
Ответ дал:
0
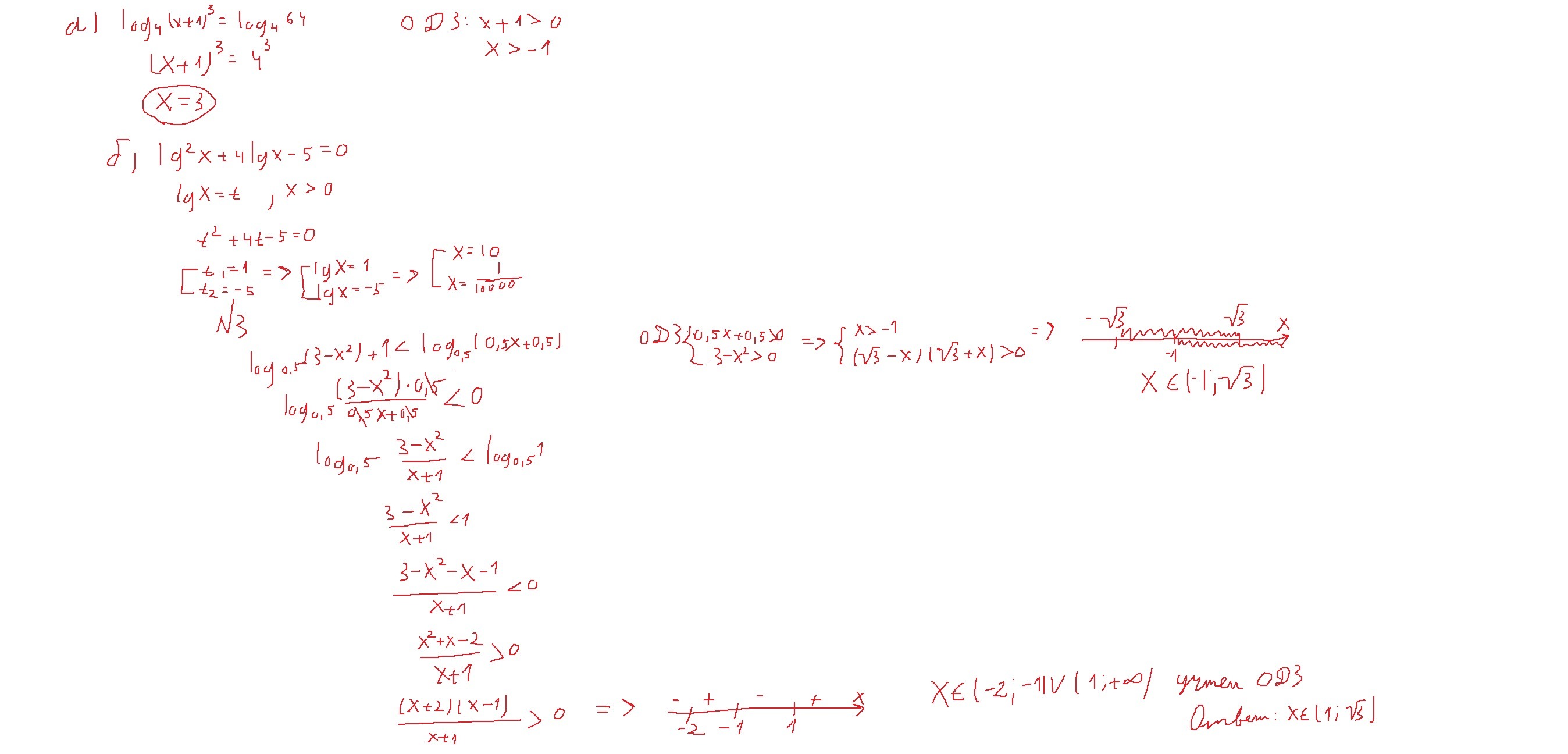
Решение в приложении ниже, будут вопросы - спрашивай, убрал 1 ошибку маленькую в решении
Приложения:

Вас заинтересует
2 года назад
3 года назад
8 лет назад
8 лет назад
9 лет назад