• Предмет: Математика
  • Автор: tomaraguch
  • Вопрос задан 8 лет назад

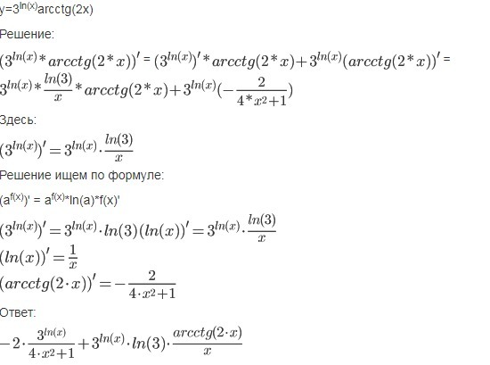
Найти производные функций: y=3^(ln x)*arcctg 2x Помогите пожалуйста)

Ответы

Ответ дал: Diamant4651
0

Ответ:


Пошаговое объяснение:


Приложения:
Вас заинтересует