Ответы
Ответ дал:
0
решение на фотографии
Приложения:

Ответ дал:
0
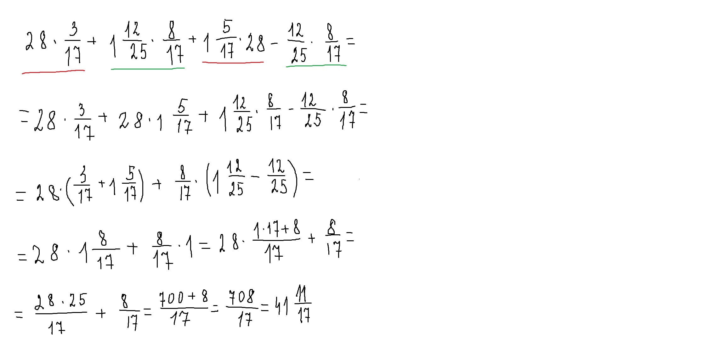
применим переместительный закон сложения,а потом вынесем общий множитель за скобки и посчитаем.
Приложения:

Вас заинтересует
2 года назад
2 года назад
3 года назад
3 года назад
9 лет назад
9 лет назад
9 лет назад