Помогите с алгебры. Даю 50 баллов.
Дали на каникулы.
8 класс. Тема: Квадратные корни и действительные числа.
1) Решите уровнения:
1. корень х = 2/5;
2. корень х = -3
3. х² = 36;
4. х² = -4
2) Упростите выражение корень125 + 4корень20 - 7корень5.
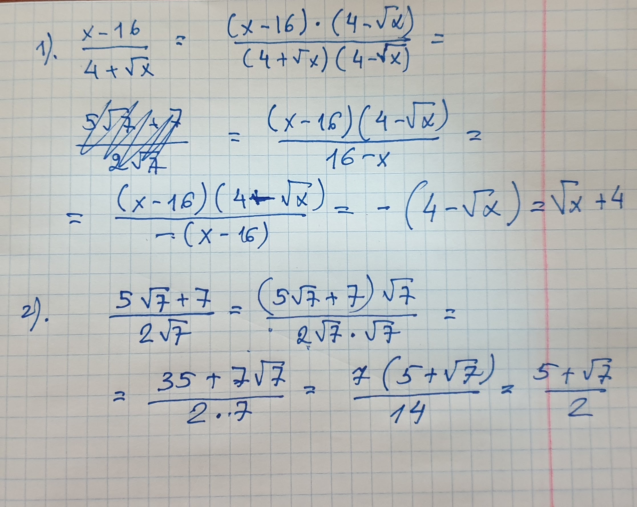
3) Сократите дробь:
1. х-16/4+корень х
2. 5корень7 + 7/ 2корень7.
Ответы
Ответ дал:
0
1.
1) √x = 2/5
x = (2/5)^2 = 4/25
2) √x = -3
решений не имеет
3) x²=36
x = ±√36 = ±6
4) x² = -4
решений не имеет
2.
125+4√20-7√5 = √25*5+4√5*4-7√5 = 5√5+8√5-7√5 = 6√5
3.
см. вложение
Приложения:

Ответ дал:
0
Приложения:

Вас заинтересует
2 года назад
2 года назад
3 года назад
3 года назад
8 лет назад
9 лет назад